• 文献检索
  • 文档翻译
  • 深度研究
  • 学术资讯
  • Suppr Zotero 插件Zotero 插件
  • 邀请有礼
  • 套餐&价格
  • 历史记录
应用&插件
Suppr Zotero 插件Zotero 插件浏览器插件Mac 客户端Windows 客户端微信小程序
定价
高级版会员购买积分包购买API积分包
服务
文献检索文档翻译深度研究API 文档MCP 服务
关于我们
关于 Suppr公司介绍联系我们用户协议隐私条款
关注我们

Suppr 超能文献

核心技术专利:CN118964589B侵权必究
粤ICP备2023148730 号-1Suppr @ 2026

文献检索

告别复杂PubMed语法,用中文像聊天一样搜索,搜遍4000万医学文献。AI智能推荐,让科研检索更轻松。

立即免费搜索

文件翻译

保留排版,准确专业,支持PDF/Word/PPT等文件格式,支持 12+语言互译。

免费翻译文档

深度研究

AI帮你快速写综述,25分钟生成高质量综述,智能提取关键信息,辅助科研写作。

立即免费体验

载白藜芦醇的聚(聚乙烯醇)水凝胶膜作为有潜力的活性创面敷料。

Poly(Vinyl Alcohol) Cryogel Membranes Loaded with Resveratrol as Potential Active Wound Dressings.

机构信息

Department of Pharmaceutical Technology and Biopharmaceutics, Faculty of Pharmacy, Jagiellonian University Collegium Medicum, 9 Medyczna Street, 30-688, Cracow, Poland.

Faculty of Chemistry, Jagiellonian University, Cracow, Poland.

出版信息

AAPS PharmSciTech. 2021 Mar 14;22(3):109. doi: 10.1208/s12249-021-01976-1.

DOI:10.1208/s12249-021-01976-1
PMID:33718994
原文链接:https://pmc.ncbi.nlm.nih.gov/articles/PMC7956935/
Abstract

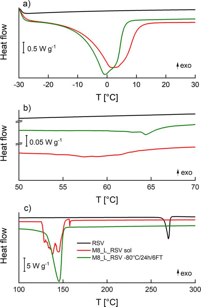
Hydrogel wound dressings are highly effective in the therapy of wounds. Yet, most of them do not contain any active ingredient that could accelerate healing. The aim of this study was to prepare hydrophilic active dressings loaded with an anti-inflammatory compound - trans-resveratrol (RSV) of hydrophobic properties. A special attention was paid to select such a technological strategy that could both reduce the risk of irritation at the application site and ensure the homogeneity of the final hydrogel. RSV dissolved in Labrasol was combined with an aqueous sol of poly(vinyl) alcohol (PVA), containing propylene glycol (PG) as a plasticizer. This sol was transformed into a gel under six consecutive cycles of freezing (-80 °C) and thawing (RT). White, uniform and elastic membranes were successfully produced. Their critical features, namely microstructure, mechanical properties, water uptake and RSV release were studied using SEM, DSC, MRI, texture analyser and Franz-diffusion cells. The cryogels made of 8 % of PVA showed optimal tensile strength (0.22 MPa) and elasticity (0.082 MPa). The application of MRI enabled to elucidate mass transport related phenomena in this complex system at the molecular (detection of PG, confinement effects related to pore size) as well as at the macro level (swelling). The controlled release of RSV from membranes was observed for 48 h with mean dissolution time of 18 h and dissolution efficiency of 35 %. All in all, these cryogels could be considered as a promising new active wound dressings.

摘要

水凝胶伤口敷料在治疗伤口方面非常有效。然而,它们大多数都不含有任何可以加速愈合的活性成分。本研究的目的是制备亲水性活性敷料,负载具有抗炎作用的化合物-疏水性白藜芦醇(RSV)。特别注意选择一种既能降低应用部位刺激风险,又能确保最终水凝胶均匀性的技术策略。溶解在 Labrasol 中的 RSV 与含有丙二醇(PG)作为增塑剂的聚乙烯醇(PVA)水溶液结合。该溶液在六个连续的冷冻(-80°C)和解冻(RT)循环下转化为凝胶。成功制备了白色、均匀和有弹性的膜。使用 SEM、DSC、MRI、质地分析仪和 Franz 扩散池研究了它们的关键特性,即微观结构、力学性能、吸水率和 RSV 释放。由 8%的 PVA 制成的冷冻凝胶表现出最佳的拉伸强度(0.22 MPa)和弹性(0.082 MPa)。应用 MRI 能够阐明在这个复杂体系中分子水平(检测 PG、与孔径相关的约束效应)和宏观水平(溶胀)上的质量传递相关现象。RSV 从膜中的控释观察了 48 小时,平均溶解时间为 18 小时,溶解效率为 35%。总之,这些冷冻凝胶可以被认为是一种有前途的新型活性伤口敷料。

https://cdn.ncbi.nlm.nih.gov/pmc/blobs/1ec4/7956935/be23fd0f6b30/12249_2021_1976_Fig8_HTML.jpg
https://cdn.ncbi.nlm.nih.gov/pmc/blobs/1ec4/7956935/883e53ec29f6/12249_2021_1976_Fig1_HTML.jpg
https://cdn.ncbi.nlm.nih.gov/pmc/blobs/1ec4/7956935/4da5c9508bf9/12249_2021_1976_Fig2_HTML.jpg
https://cdn.ncbi.nlm.nih.gov/pmc/blobs/1ec4/7956935/d9f6ccf31b63/12249_2021_1976_Fig3_HTML.jpg
https://cdn.ncbi.nlm.nih.gov/pmc/blobs/1ec4/7956935/11b71e2de438/12249_2021_1976_Fig4_HTML.jpg
https://cdn.ncbi.nlm.nih.gov/pmc/blobs/1ec4/7956935/48aa25ffb663/12249_2021_1976_Fig5_HTML.jpg
https://cdn.ncbi.nlm.nih.gov/pmc/blobs/1ec4/7956935/3485ad781939/12249_2021_1976_Fig6_HTML.jpg
https://cdn.ncbi.nlm.nih.gov/pmc/blobs/1ec4/7956935/316c45cf6b2c/12249_2021_1976_Fig7_HTML.jpg
https://cdn.ncbi.nlm.nih.gov/pmc/blobs/1ec4/7956935/be23fd0f6b30/12249_2021_1976_Fig8_HTML.jpg
https://cdn.ncbi.nlm.nih.gov/pmc/blobs/1ec4/7956935/883e53ec29f6/12249_2021_1976_Fig1_HTML.jpg
https://cdn.ncbi.nlm.nih.gov/pmc/blobs/1ec4/7956935/4da5c9508bf9/12249_2021_1976_Fig2_HTML.jpg
https://cdn.ncbi.nlm.nih.gov/pmc/blobs/1ec4/7956935/d9f6ccf31b63/12249_2021_1976_Fig3_HTML.jpg
https://cdn.ncbi.nlm.nih.gov/pmc/blobs/1ec4/7956935/11b71e2de438/12249_2021_1976_Fig4_HTML.jpg
https://cdn.ncbi.nlm.nih.gov/pmc/blobs/1ec4/7956935/48aa25ffb663/12249_2021_1976_Fig5_HTML.jpg
https://cdn.ncbi.nlm.nih.gov/pmc/blobs/1ec4/7956935/3485ad781939/12249_2021_1976_Fig6_HTML.jpg
https://cdn.ncbi.nlm.nih.gov/pmc/blobs/1ec4/7956935/316c45cf6b2c/12249_2021_1976_Fig7_HTML.jpg
https://cdn.ncbi.nlm.nih.gov/pmc/blobs/1ec4/7956935/be23fd0f6b30/12249_2021_1976_Fig8_HTML.jpg

相似文献

1
Poly(Vinyl Alcohol) Cryogel Membranes Loaded with Resveratrol as Potential Active Wound Dressings.载白藜芦醇的聚(聚乙烯醇)水凝胶膜作为有潜力的活性创面敷料。
AAPS PharmSciTech. 2021 Mar 14;22(3):109. doi: 10.1208/s12249-021-01976-1.
2
Pterostilbene loaded poly(vinyl alcohol)-gelatin cryogels as potential bioactive wound dressing material.负载紫檀芪的聚乙烯醇-明胶冷冻凝胶作为潜在的生物活性伤口敷料材料。
J Biomed Mater Res B Appl Biomater. 2023 Jun;111(6):1259-1270. doi: 10.1002/jbm.b.35230. Epub 2023 Mar 2.
3
The Novelty in Fabrication of Poly Vinyl Alcohol/κ-Carrageenan Hydrogel with Lactobacillus bulgaricus Extract as Anti-inflammatory Wound Dressing Agent.以保加利亚乳杆菌提取物为抗炎伤口敷料剂制备聚乙烯醇/κ-卡拉胶水凝胶的新颖之处。
AAPS PharmSciTech. 2017 Jul;18(5):1605-1616. doi: 10.1208/s12249-016-0628-6. Epub 2016 Sep 12.
4
Effect of chitosan-gluconic acid conjugate/poly(vinyl alcohol) cryogels as wound dressing on partial-thickness wounds in diabetic rats.壳聚糖-葡萄糖酸缀合物/聚乙烯醇冷冻凝胶作为创面敷料对糖尿病大鼠部分厚度创面的影响。
J Mater Sci Mater Med. 2013 Oct;24(10):2479-87. doi: 10.1007/s10856-013-4991-5. Epub 2013 Jun 26.
5
Self-crosslinked polyvinyl alcohol/cellulose nanofibril cryogels loaded with synthesized aminophosphonates as antimicrobial wound dressings.载有人工合成的膦酸酯的自交联聚乙烯醇/纤维素纳米纤维冷冻凝胶作为抗菌伤口敷料。
J Mater Chem B. 2023 Aug 2;11(30):7144-7159. doi: 10.1039/d3tb00926b.
6
Gel characterisation and in vivo evaluation of minocycline-loaded wound dressing with enhanced wound healing using polyvinyl alcohol and chitosan.载药创可贴的凝胶特性及体内评价——聚乙烯醇和壳聚糖促进伤口愈合
Int J Pharm. 2010 Jun 15;392(1-2):232-40. doi: 10.1016/j.ijpharm.2010.03.024. Epub 2010 Mar 15.
7
Evaluation of poly (vinyl alcohol) based cryogel-zinc oxide nanocomposites for possible applications as wound dressing materials.基于聚乙烯醇的冷冻凝胶-氧化锌纳米复合材料作为伤口敷料材料潜在应用的评估。
Mater Sci Eng C Mater Biol Appl. 2016 Aug 1;65:408-18. doi: 10.1016/j.msec.2016.04.054. Epub 2016 Apr 19.
8
Research on a novel poly (vinyl alcohol)/lysine/vanillin wound dressing: Biocompatibility, bioactivity and antimicrobial activity.新型聚(乙烯醇)/赖氨酸/香草醛伤口敷料的研究:生物相容性、生物活性和抗菌活性。
Burns. 2014 Dec;40(8):1668-78. doi: 10.1016/j.burns.2014.04.005. Epub 2014 Jun 18.
9
[Research Progress of Polyvinyl Alcohol (PVA) Based on Hydrogel Dressings].基于水凝胶敷料的聚乙烯醇(PVA)研究进展
Zhongguo Yi Liao Qi Xie Za Zhi. 2018 Nov 30;42(6):437-439. doi: 10.3969/j.issn.1671-7104.2018.06.013.
10
Effect of sodium carboxymethylcellulose and fucidic acid on the gel characterization of polyvinylalcohol-based wound dressing.羧甲基纤维素钠和富马酸对聚乙烯醇基伤口敷料凝胶特性的影响。
Arch Pharm Res. 2010 Jul;33(7):1073-81. doi: 10.1007/s12272-010-0714-3. Epub 2010 Jul 27.

引用本文的文献

1
Biocompatible nanocomposite cryogels with improved mechanical properties based on polyvinyl alcohol and carbon nanotubes for cardiovascular applications.基于聚乙烯醇和碳纳米管的具有改善机械性能的生物相容性纳米复合冷冻凝胶,用于心血管应用。
Front Bioeng Biotechnol. 2025 Sep 1;13:1635837. doi: 10.3389/fbioe.2025.1635837. eCollection 2025.
2
Cryostructuring of Polymeric Systems: 67 Properties and Microstructure of Poly(Vinyl Alcohol) Cryogels Formed in the Presence of Phenol or Bis-Phenols Introduced into the Aqueous Polymeric Solutions Prior to Their Freeze-Thaw Processing.聚合物体系的低温结构化:在冻融处理前引入到聚合物水溶液中的苯酚或双酚存在下形成的聚乙烯醇冷冻凝胶的67种性质和微观结构。
Polymers (Basel). 2024 Mar 1;16(5):675. doi: 10.3390/polym16050675.
3

本文引用的文献

1
Poly(vinyl alcohol) Hydrogel Can Autonomously Self-Heal.聚乙烯醇水凝胶能够自主自愈。
ACS Macro Lett. 2012 Nov 20;1(11):1233-1236. doi: 10.1021/mz300451r. Epub 2012 Oct 9.
2
Advanced SA/PVA-based hydrogel matrices with prolonged release of Aloe vera as promising wound dressings.具有芦荟长效释放功能的先进SA/PVA基水凝胶基质有望成为伤口敷料。
Mater Sci Eng C Mater Biol Appl. 2021 Jan;120:111667. doi: 10.1016/j.msec.2020.111667. Epub 2020 Oct 22.
3
Hydrogel-based commercial products for biomedical applications: A review.水凝胶基商业产品在生物医学中的应用:综述。
[Research progress on the role of resveratrol in wound healing].白藜芦醇在伤口愈合中作用的研究进展
Zhonghua Shao Shang Yu Chuang Mian Xiu Fu Za Zhi. 2024 Feb 20;40(2):196-200. doi: 10.3760/cma.j.cn501225-20230802-00034.
4
Immobilization of Bacteriophages in Ex Tempore Hydrogel for the Treatment of Burn Wound Infection.临时水凝胶中固定噬菌体用于治疗烧伤创面感染
Gels. 2023 Aug 3;9(8):625. doi: 10.3390/gels9080625.
5
Cryogels: Advancing Biomaterials for Transformative Biomedical Applications.冷冻凝胶:推动用于变革性生物医学应用的生物材料发展
Pharmaceutics. 2023 Jun 27;15(7):1836. doi: 10.3390/pharmaceutics15071836.
6
Thermal insulation properties of lightweight, self-healing, and mesoporous carrageenan/PMMA cryogels.轻质、自愈合且具有介孔结构的角叉菜胶/聚甲基丙烯酸甲酯冷冻凝胶的隔热性能
RSC Adv. 2023 Jan 4;13(2):1094-1105. doi: 10.1039/d2ra06333f. eCollection 2023 Jan 3.
7
Emerging Effects of Resveratrol on Wound Healing: A Comprehensive Review.白藜芦醇对伤口愈合的新兴作用:全面综述。
Molecules. 2022 Oct 9;27(19):6736. doi: 10.3390/molecules27196736.
8
Rationally designed bioactive milk-derived protein scaffolds enhanced new bone formation.合理设计的生物活性乳源蛋白支架促进了新骨形成。
Bioact Mater. 2022 Jun 16;20:368-380. doi: 10.1016/j.bioactmat.2022.05.028. eCollection 2023 Feb.
9
In Vitro Wound Dressing Stack Model as a First Step to Evaluate the Behavior of Dressing Materials in Wound Bed-An Assessment of Mass Transport Phenomena in Hydrogel Wound Dressings.体外伤口敷料堆叠模型作为评估伤口床中敷料材料行为的第一步——水凝胶伤口敷料中传质现象的评估
Materials (Basel). 2021 Dec 13;14(24):7702. doi: 10.3390/ma14247702.
10
Superior Technique for the Production of Agarose Dressing Containing Sericin and Its Wound Healing Property.含丝胶蛋白琼脂糖敷料的制备及其伤口愈合特性的卓越技术。
Polymers (Basel). 2021 Sep 30;13(19):3370. doi: 10.3390/polym13193370.
Int J Pharm. 2020 Jan 5;573:118803. doi: 10.1016/j.ijpharm.2019.118803. Epub 2019 Nov 1.
4
Preparation and in vitro performance evaluation of resveratrol for oral self-microemulsion.白藜芦醇口服自微乳制剂的制备及体外评价。
PLoS One. 2019 Apr 16;14(4):e0214544. doi: 10.1371/journal.pone.0214544. eCollection 2019.
5
Hydrogels for Cartilage Regeneration, from Polysaccharides to Hybrids.用于软骨再生的水凝胶,从多糖到杂化材料。
Polymers (Basel). 2017 Dec 4;9(12):671. doi: 10.3390/polym9120671.
6
Breathable hydrogel dressings containing natural antioxidants for management of skin disorders.含天然抗氧化剂的透气水凝胶敷料,用于皮肤疾病的管理。
J Biomater Appl. 2019 Apr;33(9):1265-1276. doi: 10.1177/0885328218816526.
7
Drug therapies and delivery mechanisms to treat perturbed skin wound healing.治疗皮肤创伤愈合紊乱的药物治疗和传递机制。
Adv Drug Deliv Rev. 2019 Sep-Oct;149-150:2-18. doi: 10.1016/j.addr.2019.03.006. Epub 2019 Apr 6.
8
Preparation and Evaluation of Skin Wound Healing Chitosan-Based Hydrogel Membranes.壳聚糖基水凝胶膜在皮肤创伤愈合中的制备与评价。
AAPS PharmSciTech. 2018 Oct;19(7):3199-3209. doi: 10.1208/s12249-018-1131-z. Epub 2018 Aug 31.
9
Anti-Inflammatory Effects of Resveratrol: Mechanistic Insights.白藜芦醇的抗炎作用:机制见解。
Int J Mol Sci. 2018 Jun 20;19(6):1812. doi: 10.3390/ijms19061812.
10
Designing hydrogels for controlled drug delivery.设计用于控释给药的水凝胶。
Nat Rev Mater. 2016 Dec;1(12). doi: 10.1038/natrevmats.2016.71. Epub 2016 Oct 18.