• 文献检索
  • 文档翻译
  • 深度研究
  • 学术资讯
  • Suppr Zotero 插件Zotero 插件
  • 邀请有礼
  • 套餐&价格
  • 历史记录
应用&插件
Suppr Zotero 插件Zotero 插件浏览器插件Mac 客户端Windows 客户端微信小程序
定价
高级版会员购买积分包购买API积分包
服务
文献检索文档翻译深度研究API 文档MCP 服务
关于我们
关于 Suppr公司介绍联系我们用户协议隐私条款
关注我们

Suppr 超能文献

核心技术专利:CN118964589B侵权必究
粤ICP备2023148730 号-1Suppr @ 2026

文献检索

告别复杂PubMed语法,用中文像聊天一样搜索,搜遍4000万医学文献。AI智能推荐,让科研检索更轻松。

立即免费搜索

文件翻译

保留排版,准确专业,支持PDF/Word/PPT等文件格式,支持 12+语言互译。

免费翻译文档

深度研究

AI帮你快速写综述,25分钟生成高质量综述,智能提取关键信息,辅助科研写作。

立即免费体验

中国农村人群中睡眠中点和夜间睡眠时间与 2 型糖尿病的关系:河南农村队列研究。

Associations of midpoint of sleep and night sleep duration with type 2 diabetes mellitus in Chinese rural population: the Henan rural cohort study.

机构信息

Department of Epidemiology and Biostatistics, College of Public Health, Zhengzhou University, 100 Kexue Avenue, Zhengzhou, 450001, Henan, PR China.

Department of Preventive Medicine, Henan University of Chinese Medicine, 156 East Jinshui, Zhengzhou, Henan, 450046, PR China.

出版信息

BMC Public Health. 2021 May 7;21(1):879. doi: 10.1186/s12889-021-10833-6.

DOI:10.1186/s12889-021-10833-6
PMID:33962597
原文链接:https://pmc.ncbi.nlm.nih.gov/articles/PMC8106181/
Abstract

BACKGROUND

The study aimed to investigate the independent and combined effects of midpoint of sleep and night sleep duration on type 2 diabetes mellitus (T2DM) in areas with limited resources.

METHODS

A total of 37,276 participants (14,456 men and 22,820 women) were derived from the Henan Rural Cohort Study. Sleep information was assessed based on the Pittsburgh Sleep Quality Index. Logistic regression models and restricted cubic splines were used to estimate the relationship of the midpoint of sleep and night sleep duration with T2DM.

RESULTS

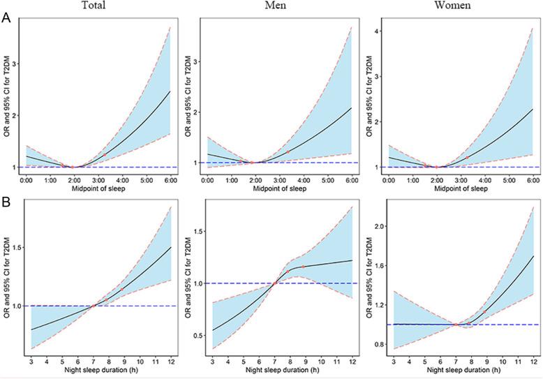
Of the 37,276 included participants, 3580 subjects suffered from T2DM. The mean midpoint of sleep among the Early, Intermediate and Late groups were 1:05 AM ±23 min, 1:56 AM ±14 min, and 2:57 AM ±34 min, respectively. Compared to the Intermediate group, adjusted odds ratios (ORs) and 95% confidence interval (CI) of T2DM were 1.13 (1.04-1.22) and 1.14 (1.03-1.26) in the Early group and the Late group. Adjusted OR (95% CI) for T2DM compared with the reference (7- h) was 1.28 (1.08-1.51) for longer (≥ 10 h) night sleep duration. The combination of late midpoint of sleep and night sleep duration (≥ 9 h) increased 38% (95% CI 10-74%) prevalence of T2DM. These associations were more obvious in women than men.

CONCLUSIONS

Late and early midpoint of sleep and long night sleep duration were all associated with higher prevalence of T2DM. Meanwhile, midpoint of sleep and night sleep duration might have combined effects on the prevalence of T2DM, which provided potential health implications for T2DM prevention, especially in rural women.

TRIAL REGISTRATION

The Henan Rural Cohort Study has been registered at Chinese Clinical Trial Register (Registration number: ChiCTR-OOC-15006699 ). Date of registration: 2015-07-06.

摘要

背景

本研究旨在探讨资源有限地区睡眠中点和夜间睡眠时间对 2 型糖尿病(T2DM)的独立和联合影响。

方法

本研究共纳入 37276 名参与者(男 14456 人,女 22820 人),均来自河南农村队列研究。基于匹兹堡睡眠质量指数评估睡眠信息。采用 logistic 回归模型和限制立方样条分析睡眠中点和夜间睡眠时间与 T2DM 的关系。

结果

在纳入的 37276 名参与者中,有 3580 名患有 T2DM。早睡组、中睡组和晚睡组的睡眠中点均值分别为 1:05 AM ±23 min、1:56 AM ±14 min 和 2:57 AM ±34 min。与中睡组相比,早睡组和晚睡组 T2DM 的调整优势比(OR)及其 95%置信区间(CI)分别为 1.13(1.04-1.22)和 1.14(1.03-1.26)。与参考组(7 h)相比,夜间睡眠时间较长(≥10 h)的 T2DM 调整 OR(95%CI)为 1.28(1.08-1.51)。睡眠中点较晚且夜间睡眠时间较长(≥9 h)会使 T2DM 的患病率增加 38%(95%CI 10-74%)。这些关联在女性中比男性中更为明显。

结论

较晚和较早的睡眠中点以及较长的夜间睡眠时间均与 T2DM 的高患病率相关。同时,睡眠中点和夜间睡眠时间可能对 T2DM 的患病率具有联合效应,这为 T2DM 的预防提供了潜在的健康意义,尤其是对农村女性。

试验注册

河南农村队列研究已在中国临床试验注册中心注册(注册号:ChiCTR-OOC-15006699)。注册日期:2015-07-06。

https://cdn.ncbi.nlm.nih.gov/pmc/blobs/9d62/8106181/f3a023483c6d/12889_2021_10833_Fig2_HTML.jpg
https://cdn.ncbi.nlm.nih.gov/pmc/blobs/9d62/8106181/e2c3098910af/12889_2021_10833_Fig1_HTML.jpg
https://cdn.ncbi.nlm.nih.gov/pmc/blobs/9d62/8106181/f3a023483c6d/12889_2021_10833_Fig2_HTML.jpg
https://cdn.ncbi.nlm.nih.gov/pmc/blobs/9d62/8106181/e2c3098910af/12889_2021_10833_Fig1_HTML.jpg
https://cdn.ncbi.nlm.nih.gov/pmc/blobs/9d62/8106181/f3a023483c6d/12889_2021_10833_Fig2_HTML.jpg

相似文献

1
Associations of midpoint of sleep and night sleep duration with type 2 diabetes mellitus in Chinese rural population: the Henan rural cohort study.中国农村人群中睡眠中点和夜间睡眠时间与 2 型糖尿病的关系:河南农村队列研究。
BMC Public Health. 2021 May 7;21(1):879. doi: 10.1186/s12889-021-10833-6.
2
Gender-specific independent and combined dose-response association of napping and night sleep duration with type 2 diabetes mellitus in rural Chinese adults: the RuralDiab study.中国农村成年人中白天小睡和夜间睡眠时间与 2 型糖尿病的性别特异性独立和综合剂量反应关系:农村糖尿病研究。
Sleep Med. 2018 May;45:106-113. doi: 10.1016/j.sleep.2017.12.017. Epub 2018 Feb 7.
3
Association of nocturnal sleep duration and sleep midpoint with osteoporosis risk in rural adults: a large-scale cross-sectional study.夜间睡眠时间和睡眠中点与农村成年人骨质疏松症风险的关联:一项大规模的横断面研究。
Sleep Breath. 2023 Dec;27(6):2191-2198. doi: 10.1007/s11325-023-02818-z. Epub 2023 Apr 3.
4
Night sleep duration and sleep initiation time with hypertension in Chinese rural population: the Henan Rural Cohort.中国农村人群中夜间睡眠时间和睡眠起始时间与高血压的关系:河南农村队列研究。
Eur J Public Health. 2020 Feb 1;30(1):164-170. doi: 10.1093/eurpub/ckz142.
5
Abnormal night sleep duration and poor sleep quality are independently and combinedly associated with elevated depressive symptoms in Chinese rural adults: Henan Rural Cohort.异常的夜间睡眠时间和较差的睡眠质量与中国农村成年人抑郁症状的升高独立和共同相关:河南农村队列。
Sleep Med. 2020 Jun;70:71-78. doi: 10.1016/j.sleep.2019.10.022. Epub 2019 Dec 16.
6
Independent and combined effects of sleep quality and night sleep duration on health-related quality of life in rural areas: a large-scale cross-sectional study.独立且综合的睡眠质量和夜间睡眠时间对农村地区健康相关生活质量的影响:一项大规模的横断面研究。
Health Qual Life Outcomes. 2022 Feb 21;20(1):31. doi: 10.1186/s12955-022-01936-8.
7
The association between frequency of away-from home meals and type 2 diabetes mellitus in rural Chinese adults: the Henan Rural Cohort Study.中国农村成年人中外出就餐频率与 2 型糖尿病的关系:河南农村队列研究。
Eur J Nutr. 2020 Dec;59(8):3815-3825. doi: 10.1007/s00394-020-02212-5. Epub 2020 Mar 19.
8
The associations between sleep timing and night sleep duration with dyslipidemia in a rural population: The Henan Rural Cohort Study.农村人群中睡眠时相与夜间睡眠时间与血脂异常的关系:河南农村队列研究。
Chronobiol Int. 2023 Sep 2;40(9):1261-1269. doi: 10.1080/07420528.2023.2262565. Epub 2023 Oct 9.
9
The association of sleep quality and night sleep duration with coronary heart disease in a large-scale rural population.睡眠质量和夜间睡眠时间与大规模农村人群冠心病的关系。
Sleep Med. 2021 Nov;87:233-240. doi: 10.1016/j.sleep.2021.09.013. Epub 2021 Sep 27.
10
The independent and combined association of napping and night sleep duration with stroke in Chinese rural adults.中国农村成年人午睡和夜间睡眠时间与中风的独立和联合关联。
Sleep Breath. 2023 Mar;27(1):265-274. doi: 10.1007/s11325-022-02619-w. Epub 2022 Apr 25.

引用本文的文献

1
Sleep features and the risk of type 2 diabetes mellitus: a systematic review and meta-analysis.睡眠特征与2型糖尿病风险:一项系统评价和荟萃分析。
Ann Med. 2025 Dec;57(1):2447422. doi: 10.1080/07853890.2024.2447422. Epub 2025 Jan 2.
2
The independent and combined associations of nocturnal sleep duration, sleep midpoint, and sleep onset latency with global cognitive function in older Chinese adults.中国老年人群夜间睡眠时间、睡眠中点及入睡潜伏期与整体认知功能的独立及联合关联
Geroscience. 2025 Jan 2. doi: 10.1007/s11357-024-01476-7.
3
A Machine Learning Model for Predicting Sleep and Wakefulness Based on Accelerometry, Skin Temperature and Contextual Information.

本文引用的文献

1
Chronic circadian shift leads to adipose tissue inflammation and fibrosis.慢性生物钟移位导致脂肪组织炎症和纤维化。
Mol Cell Endocrinol. 2021 Feb 5;521:111110. doi: 10.1016/j.mce.2020.111110. Epub 2020 Dec 4.
2
Physical behaviors and chronotype in people with type 2 diabetes.2 型糖尿病患者的身体行为和昼夜类型。
BMJ Open Diabetes Res Care. 2020 Jul;8(1). doi: 10.1136/bmjdrc-2020-001375.
3
Mortality attributable to diabetes in 20-79 years old adults, 2019 estimates: Results from the International Diabetes Federation Diabetes Atlas, 9 edition.
一种基于加速度计、皮肤温度和上下文信息预测睡眠与清醒状态的机器学习模型。
Nat Sci Sleep. 2024 Jun 6;16:699-710. doi: 10.2147/NSS.S452799. eCollection 2024.
4
Dietary Potassium and Magnesium Intake with Risk of Type 2 Diabetes Mellitus Among Rural China: the Henan Rural Cohort Study.中国农村饮食钾镁摄入量与 2 型糖尿病风险:河南农村队列研究。
Biol Trace Elem Res. 2024 Sep;202(9):3932-3944. doi: 10.1007/s12011-023-03993-6. Epub 2023 Dec 5.
5
Manganese and Sleep Outcomes in United States Adults: Results from the 2017-2020 National Health and Nutrition Examination Survey (NHANES).锰与美国成年人睡眠结果:来自 2017-2020 年全国健康和营养检查调查(NHANES)的数据。
J Nutr. 2024 Jan;154(1):213-223. doi: 10.1016/j.tjnut.2023.11.012. Epub 2023 Nov 19.
6
Association between Sleep Timing, Being Overweight and Meal and Snack Consumption in Children and Adolescents in Southern Brazil.巴西南部儿童和青少年的睡眠时间、超重与饮食及零食摄入之间的关联
Int J Environ Res Public Health. 2023 Sep 21;20(18):6791. doi: 10.3390/ijerph20186791.
7
Feasibility, Acceptability, and Preliminary Effectiveness of a Sleep Intervention in Adults at Risk for Metabolic Syndrome With Short Sleep Duration.针对睡眠时长较短的代谢综合征风险成年人的睡眠干预措施的可行性、可接受性及初步有效性
Nurs Res. 2024;73(1):72-80. doi: 10.1097/NNR.0000000000000693. Epub 2023 Sep 18.
8
Association of nocturnal sleep duration and sleep midpoint with osteoporosis risk in rural adults: a large-scale cross-sectional study.夜间睡眠时间和睡眠中点与农村成年人骨质疏松症风险的关联:一项大规模的横断面研究。
Sleep Breath. 2023 Dec;27(6):2191-2198. doi: 10.1007/s11325-023-02818-z. Epub 2023 Apr 3.
9
Timing of Meals and Sleep in the Mediterranean Population: The Effect of Taste, Genetics, Environmental Determinants, and Interactions on Obesity Phenotypes.地中海人群的饮食和睡眠时间:味觉、遗传、环境决定因素以及相互作用对肥胖表型的影响。
Nutrients. 2023 Jan 30;15(3):708. doi: 10.3390/nu15030708.
10
Sleep variability and regularity as contributors to obesity and cardiometabolic health in adolescence.睡眠变异性和规律性对青少年肥胖和心脏代谢健康的影响。
Obesity (Silver Spring). 2023 Mar;31(3):597-614. doi: 10.1002/oby.23667. Epub 2023 Feb 8.
2019 年国际糖尿病联盟糖尿病地图集第 9 版估算:20-79 岁成年人归因于糖尿病的死亡率。
Diabetes Res Clin Pract. 2020 Apr;162:108086. doi: 10.1016/j.diabres.2020.108086. Epub 2020 Feb 15.
4
Global and regional estimates and projections of diabetes-related health expenditure: Results from the International Diabetes Federation Diabetes Atlas, 9th edition.全球及各区域糖尿病相关卫生支出估计和预测:国际糖尿病联盟糖尿病地图集第 9 版结果。
Diabetes Res Clin Pract. 2020 Apr;162:108072. doi: 10.1016/j.diabres.2020.108072. Epub 2020 Feb 13.
5
Circadian misalignment alters insulin sensitivity during the light phase and shifts glucose tolerance rhythms in female mice.昼夜节律紊乱会改变女性小鼠在光照阶段的胰岛素敏感性,并改变葡萄糖耐量节律。
PLoS One. 2019 Dec 18;14(12):e0225813. doi: 10.1371/journal.pone.0225813. eCollection 2019.
6
Associations between chronotype, MTNR1B genotype and risk of type 2 diabetes in UK Biobank.英国生物库中睡眠时型、MTNR1B 基因型与 2 型糖尿病风险的相关性。
J Intern Med. 2020 Feb;287(2):189-196. doi: 10.1111/joim.12994. Epub 2019 Nov 6.
7
Night sleep duration and sleep initiation time with hypertension in Chinese rural population: the Henan Rural Cohort.中国农村人群中夜间睡眠时间和睡眠起始时间与高血压的关系:河南农村队列研究。
Eur J Public Health. 2020 Feb 1;30(1):164-170. doi: 10.1093/eurpub/ckz142.
8
Sleep patterns and the risk of adverse birth outcomes among Chinese women.中国女性的睡眠模式与不良生育结局风险。
Int J Gynaecol Obstet. 2019 Sep;146(3):308-314. doi: 10.1002/ijgo.12878. Epub 2019 Jun 25.
9
Habitual late sleep initiation is associated with increased incidence of type 2 diabetes mellitus in Korean adults: the Korean Genome and Epidemiology Study.习惯性晚睡与韩国成年人 2 型糖尿病发病率的增加有关:韩国基因组和流行病学研究。
Sleep. 2019 Jul 8;42(7). doi: 10.1093/sleep/zsz090.
10
Epigenetics in Human Obesity and Type 2 Diabetes.人类肥胖症和 2 型糖尿病中的表观遗传学。
Cell Metab. 2019 May 7;29(5):1028-1044. doi: 10.1016/j.cmet.2019.03.009. Epub 2019 Apr 11.