Oxford Centre for Functional MRI of the Brain (FMRIB), Wellcome Centre for Integrative Neuroimaging, Nuffield Department of Clinical Neurosciences, University of Oxford, Oxford OX3 9DU, United Kingdom.
Oxford Centre for Human Brain Activity (OHBA), Wellcome Centre for Integrative Neuroimaging, Department of Psychiatry, University of Oxford, Oxford, OX3 7JX, United Kingdom; Department of Clinical Medicine, Aarhus University, Denmark.
Med Image Anal. 2022 Apr;77:102366. doi: 10.1016/j.media.2022.102366. Epub 2022 Jan 29.
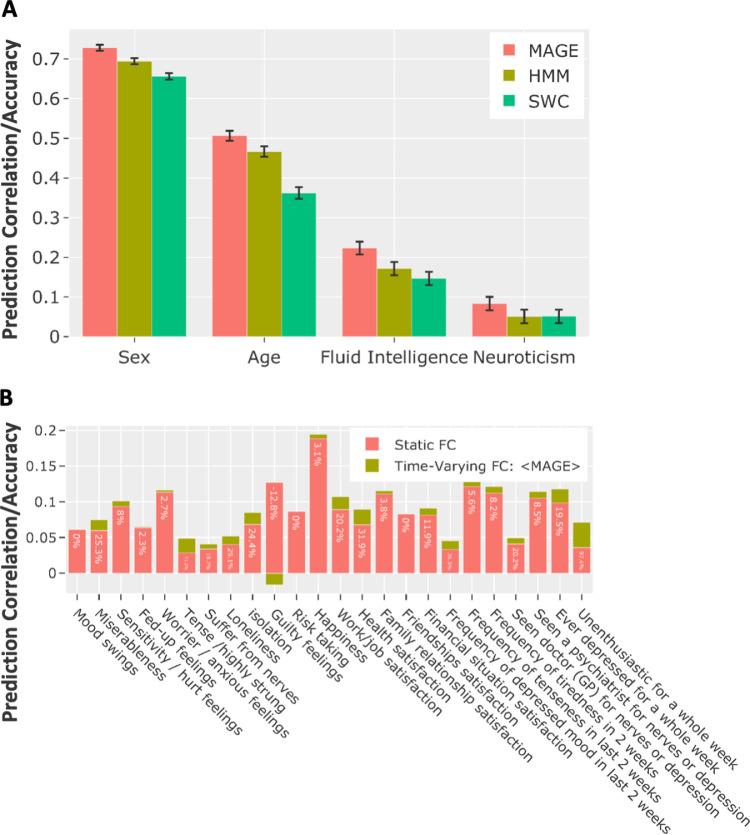
The activity of functional brain networks is responsible for the emergence of time-varying cognition and behaviour. Accordingly, time-varying correlations (Functional Connectivity) in resting fMRI have been shown to be predictive of behavioural traits, and psychiatric and neurological conditions. Typically, methods that measure time varying Functional Connectivity (FC), such as sliding windows approaches, do not separately model when changes occur in the mean activity levels from when changes occur in the FC, therefore conflating these two distinct types of modulation. We show that this can bias the estimation of time-varying FC to appear more stable over time than it actually is. Here, we propose an alternative approach that models changes in the mean brain activity and in the FC as being able to occur at different times to each other. We refer to this method as the Multi-dynamic Adversarial Generator Encoder (MAGE) model, which includes a model of the network dynamics that captures long-range time dependencies, and is estimated on fMRI data using principles of Generative Adversarial Networks. We evaluated the approach across several simulation studies and resting fMRI data from the Human Connectome Project (1003 subjects), as well as from UK Biobank (13301 subjects). Importantly, we find that separating fluctuations in the mean activity levels from those in the FC reveals much stronger changes in FC over time, and is a better predictor of individual behavioural variability.
功能大脑网络的活动负责出现时变认知和行为。相应地,静息 fMRI 中的时变相关性(功能连接)已被证明可预测行为特征以及精神和神经疾病。通常,测量时变功能连接(FC)的方法,如滑动窗口方法,不会分别建模均值活动水平的变化与 FC 的变化发生的时间,因此将这两种不同类型的调制混为一谈。我们表明,这可能会导致对时变 FC 的估计看起来比实际更稳定。在这里,我们提出了一种替代方法,该方法将平均脑活动和 FC 的变化建模为能够彼此在不同时间发生。我们将这种方法称为多动态对抗生成器编码器(MAGE)模型,它包括一个捕获长程时间依赖性的网络动态模型,并使用生成对抗网络的原理在 fMRI 数据上进行估计。我们在几个模拟研究和人类连接组计划(1003 个受试者)的静息 fMRI 数据以及英国生物银行(13301 个受试者)中评估了该方法。重要的是,我们发现,将均值活动水平的波动与 FC 的波动分开,可以更准确地揭示 FC 随时间的变化,并且是个体行为可变性的更好预测指标。