Division of Rheumatology, Department of Physical Medicine and Rehabilitation, School of Medicine, Ankara University, Ibni Sina Hospital, 4th Floor, Altındağ, Ankara, Turkey.
Rheumatol Int. 2022 Apr;42(4):601-608. doi: 10.1007/s00296-022-05102-7. Epub 2022 Feb 14.
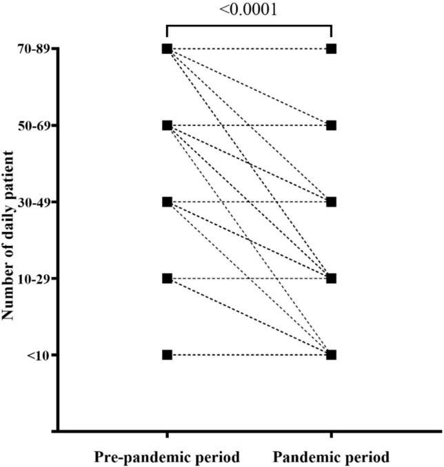
This study aims to investigate the impact of the coronavirus disease 2019 (COVID-19) pandemic on the management of rheumatic diseases (RD). An online survey included 10 questions were designed to assess potential differences in rheumatology practice. The survey was conducted between March 2021 and June 2021. Marginal homogeneity test was used to compare frequencies of outpatient clinic patients between the pre-pandemic and pandemic. Other results were analyzed by descriptive statistics. One hundred three clinicians (75.7% in rheumatology practice for at least five years) responded to the survey. Almost 70% examined < 30 patients per day during the pandemic while nearly 70% examined ≥ 30 patients per day before the pandemic (p < 0.001). They indicated following reasons for decreasing outpatient clinic activity were concerns regarding COVID-19 transmission risk of the patients (95%) and the clinicians (53%), being able to supply chronic medications directly from the pharmacy (85%), lockdown (71%), limited outpatient appointments (64%) and using telemedicine (20%). The frequencies of rheumatology daily routine procedures were decreased as follows; patient hospitalization for diagnosing (80%) and treatment (78%), labial salivary gland biopsy (63%), Schirmer's test/salivary flow rate test (56%), nail bed video-capillaroscopy (52%), musculoskeletal ultrasonography (51%) and Pathergy test (50%). Clinicians hesitated to use rituximab (63%) mostly, followed by cyclophosphamide (53%), glucocorticoids (43%), tofacitinib (41%), mycophenolate mofetil (36%), and azathioprine (33%). In this first national survey, the prominent differences in the management of RD have decreased outpatient clinic activity, reduced rheumatology daily procedures, and hesitancy to use some rheumatic drugs.
这项研究旨在探讨 2019 年冠状病毒病(COVID-19)大流行对风湿性疾病(RD)管理的影响。一项在线调查设计了 10 个问题,以评估风湿病实践中的潜在差异。该调查于 2021 年 3 月至 2021 年 6 月进行。使用边缘同质性检验比较大流行前后门诊患者的频率。其他结果通过描述性统计进行分析。103 名临床医生(75.7%从事风湿病实践至少 5 年)对调查做出了回应。大流行期间,近 70%的医生每天检查的患者数少于 30 人,而大流行前近 70%的医生每天检查的患者数多于 30 人(p<0.001)。他们表示,减少门诊活动的原因如下:担心患者(95%)和临床医生(53%)COVID-19 传播风险、能够直接从药房供应慢性病药物(85%)、封锁(71%)、门诊预约有限(64%)和使用远程医疗(20%)。以下是风湿病日常程序频率的降低情况:为诊断(80%)和治疗(78%)住院的患者、唇腺活检(63%)、Schirmer 试验/唾液流率试验(56%)、指甲床视频毛细血管镜检查(52%)、肌肉骨骼超声检查(51%)和 Pathergy 试验(50%)。临床医生大多犹豫使用利妥昔单抗(63%),其次是环磷酰胺(53%)、糖皮质激素(43%)、托法替尼(41%)、霉酚酸酯(36%)和硫唑嘌呤(33%)。在这项首次全国调查中,RD 管理方面的显著差异是减少了门诊活动、减少了风湿病日常程序,以及对使用某些风湿病药物犹豫不决。