Mohtasib R, Alghamdi J, Jobeir A, Masawi A, Pedrosa de Barros N, Billiet T, Struyfs H, Phan T V, Van Hecke W, Ribbens A
Molecular & Functional Imaging, King Faisal Specialist Hospital & Research Center, Riyadh, Saudi Arabia.
Alfaisal University, Department of Medical School, Riyadh, Saudi Arabia.
Heliyon. 2022 Feb 2;8(2):e08901. doi: 10.1016/j.heliyon.2022.e08901. eCollection 2022 Feb.
At present, clinical use of MRI in Alzheimer's disease (AD) is mostly focused on the assessment of brain atrophy, namely in the hippocampal region. Despite this, multiple biomarkers reflecting structural and functional brain connectivity changes have shown promising results in the assessment of AD. To help identify the most relevant ones that may stand a chance of being used in clinical practice, we compared multiple biomarker in terms of their value to discriminate AD from healthy controls and analyzed their age dependency.
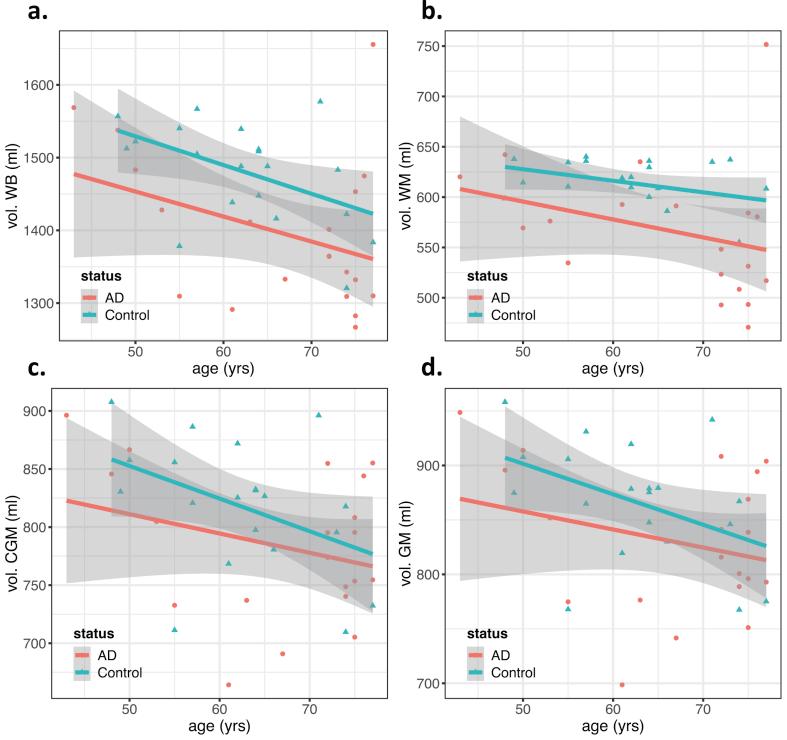
20 AD patients and 20 matched controls underwent MRI-scanning (3T GE), including T1-weighted, diffusion-MRI, and resting-state-fMRI (rsfMRI). Whole brain, white matter, gray matter, cortical gray matter and hippocampi volumes were measured using icobrain. rsfMRI between regions of the default-mode-network (DMN) was assessed using group independent-component-analysis. Median diffusivity and kurtosis were determined in gray and white-matter. DTI data was used to evaluate pairwise structural connectivity between lobar regions and the hippocampi.Logistic-Regression and Random-Forest models were trained to classify AD-status based on, respectively different isolated features and age, and feature-groups combined with age.
Hippocampal features, features reflecting the functional connectivity between the medial-Pre-Frontal-Cortex (mPFC) and the posterior regions of the DMN, and structural interhemispheric frontal connectivity showed the strongest differences between AD-patients and controls. Structural interhemispheric parietal connectivity, structural connectivity between the parietal lobe and hippocampus in the right hemisphere, and mPFC-DMN-features, showed only an association with AD-status (p < 0.05) but not with age. Hippocampi volumes showed an association both with age and AD-status (p < 0.05).Smallest-hippocampus-volume was the most discriminative feature. The best performance (accuracy:0.74, sensitivity:0.74, specificity:0.74) was obtained with an RF-model combining the best feature from each feature-group (smallest hippocampus volume, WM volume, median GM MD, lTPJ-mPFC connectivity and structural interhemispheric frontal connectivity) and age.
Brain connectivity changes caused by AD are reflected in multiple MRI-biomarkers. Decline in both the functional DMN-connectivity and the parietal interhemispheric structural connectivity may assist sepparating healthy-aging driven changes from AD, complementing hippocampal volumes which are affected by both aging and AD.
目前,磁共振成像(MRI)在阿尔茨海默病(AD)临床中的应用主要集中在脑萎缩评估,即海马区萎缩评估。尽管如此,多种反映脑结构和功能连接变化的生物标志物在AD评估中已显示出有前景的结果。为了帮助确定最有可能用于临床实践的相关生物标志物,我们比较了多种生物标志物在区分AD与健康对照方面的价值,并分析了它们与年龄的相关性。
20例AD患者和20例匹配的对照者接受了MRI扫描(3T通用电气),包括T1加权成像、扩散加权成像和静息态功能磁共振成像(rsfMRI)。使用icobrain测量全脑、白质、灰质、皮质灰质和海马体积。使用组独立成分分析评估默认模式网络(DMN)区域之间的rsfMRI。测定灰质和白质中的平均扩散率和峰度。利用扩散张量成像(DTI)数据评估叶区域与海马之间的成对结构连接。分别基于不同的孤立特征和年龄以及结合年龄的特征组训练逻辑回归和随机森林模型,以对AD状态进行分类。
海马特征、反映内侧前额叶皮质(mPFC)与DMN后部区域之间功能连接的特征以及半球间额叶结构连接在AD患者和对照者之间表现出最显著的差异。半球间顶叶结构连接、右侧半球顶叶与海马之间的结构连接以及mPFC-DMN特征仅与AD状态相关(p<0.05),而与年龄无关。海马体积与年龄和AD状态均相关(p<0.05)。最小海马体积是最具鉴别力的特征。通过结合每个特征组的最佳特征(最小海马体积、白质体积、灰质平均扩散率、下顶叶-内侧前额叶皮质连接和半球间额叶结构连接)和年龄的随机森林模型获得了最佳性能(准确率:0.74,敏感性:0.74,特异性:0.74)。
AD引起的脑连接变化反映在多种MRI生物标志物中。DMN功能连接和顶叶半球间结构连接的下降可能有助于将健康衰老驱动的变化与AD区分开来,补充了受衰老和AD共同影响的海马体积。