• 文献检索
  • 文档翻译
  • 深度研究
  • 学术资讯
  • Suppr Zotero 插件Zotero 插件
  • 邀请有礼
  • 套餐&价格
  • 历史记录
应用&插件
Suppr Zotero 插件Zotero 插件浏览器插件Mac 客户端Windows 客户端微信小程序
定价
高级版会员购买积分包购买API积分包
服务
文献检索文档翻译深度研究API 文档MCP 服务
关于我们
关于 Suppr公司介绍联系我们用户协议隐私条款
关注我们

Suppr 超能文献

核心技术专利:CN118964589B侵权必究
粤ICP备2023148730 号-1Suppr @ 2026

文献检索

告别复杂PubMed语法,用中文像聊天一样搜索,搜遍4000万医学文献。AI智能推荐,让科研检索更轻松。

立即免费搜索

文件翻译

保留排版,准确专业,支持PDF/Word/PPT等文件格式,支持 12+语言互译。

免费翻译文档

深度研究

AI帮你快速写综述,25分钟生成高质量综述,智能提取关键信息,辅助科研写作。

立即免费体验

基于机器学习的医疗指令在儿科急诊医学中的应用评估。

Assessment of Machine Learning-Based Medical Directives to Expedite Care in Pediatric Emergency Medicine.

机构信息

Department of Computer Science, University of Toronto, Toronto, Ontario, Canada.

The Hospital for Sick Children, Toronto, Ontario, Canada.

出版信息

JAMA Netw Open. 2022 Mar 1;5(3):e222599. doi: 10.1001/jamanetworkopen.2022.2599.

DOI:10.1001/jamanetworkopen.2022.2599
PMID:35294539
原文链接:https://pmc.ncbi.nlm.nih.gov/articles/PMC8928004/
Abstract

IMPORTANCE

Increased wait times and long lengths of stay in emergency departments (EDs) are associated with poor patient outcomes. Systems to improve ED efficiency would be useful. Specifically, minimizing the time to diagnosis by developing novel workflows that expedite test ordering can help accelerate clinical decision-making.

OBJECTIVE

To explore the use of machine learning-based medical directives (MLMDs) to automate diagnostic testing at triage for patients with common pediatric ED diagnoses.

DESIGN, SETTING, AND PARTICIPANTS: Machine learning models trained on retrospective electronic health record data were evaluated in a decision analytical model study conducted at the ED of the Hospital for Sick Children Toronto, Canada. Data were collected on all patients aged 0 to 18 years presenting to the ED from July 1, 2018, to June 30, 2019 (77 219 total patient visits).

EXPOSURE

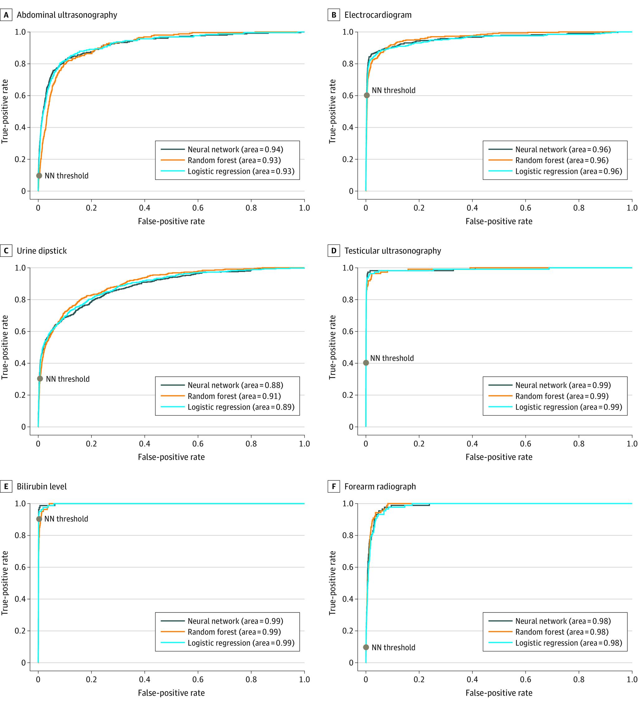
Machine learning models were trained to predict the need for urinary dipstick testing, electrocardiogram, abdominal ultrasonography, testicular ultrasonography, bilirubin level testing, and forearm radiographs.

MAIN OUTCOMES AND MEASURES

Models were evaluated using area under the receiver operator curve, true-positive rate, false-positive rate, and positive predictive values. Model decision thresholds were determined to limit the total number of false-positive results and achieve high positive predictive values. The time difference between patient triage completion and test ordering was assessed for each use of MLMD. Error rates were analyzed to assess model bias. In addition, model explainability was determined using Shapley Additive Explanations values.

RESULTS

There was a total of 42 238 boys (54.7%) included in model development; mean (SD) age of the children was 5.4 (4.8) years. Models obtained high area under the receiver operator curve (0.89-0.99) and positive predictive values (0.77-0.94) across each of the use cases. The proposed implementation of MLMDs would streamline care for 22.3% of all patient visits and make test results available earlier by 165 minutes (weighted mean) per affected patient. Model explainability for each MLMD demonstrated clinically relevant features having the most influence on model predictions. Models also performed with minimal to no sex bias.

CONCLUSIONS AND RELEVANCE

The findings of this study suggest the potential for clinical automation using MLMDs. When integrated into clinical workflows, MLMDs may have the potential to autonomously order common ED tests early in a patient's visit with explainability provided to patients and clinicians.

摘要

重要性

急诊部(ED)的等待时间延长和住院时间延长与患者预后不良有关。改善 ED 效率的系统将是有用的。具体来说,通过开发加速测试订单的新工作流程来最小化诊断时间,可以帮助加速临床决策。

目的

探索使用基于机器学习的医疗指令 (MLMD) 来自动化儿科 ED 常见诊断的分诊诊断测试。

设计、设置和参与者:在加拿大 SickKids 医院 ED 进行的决策分析模型研究中,评估了基于回顾性电子健康记录数据训练的机器学习模型。数据采集自 2018 年 7 月 1 日至 2019 年 6 月 30 日期间所有 0 至 18 岁就诊 ED 的患者(总共 77219 例患者就诊)。

暴露

机器学习模型被训练来预测尿试纸检测、心电图、腹部超声、睾丸超声、胆红素水平检测和前臂 X 光检查的需求。

主要结果和措施

使用接收者操作特征曲线下面积、真阳性率、假阳性率和阳性预测值评估模型。确定模型决策阈值以限制假阳性结果的总数并实现高阳性预测值。评估了每个 MLMD 使用的患者分诊完成和测试订单之间的时间差。分析错误率以评估模型偏差。此外,使用 Shapley Additive Explanations 值确定模型的可解释性。

结果

模型开发中共有 42238 名男孩(54.7%);儿童的平均(SD)年龄为 5.4(4.8)岁。在每个使用案例中,模型获得了高接收者操作特征曲线下面积(0.89-0.99)和阳性预测值(0.77-0.94)。拟议的 MLMD 实施将使 22.3%的所有患者就诊流程简化,并使受影响患者的测试结果提前 165 分钟(加权平均值)可用。每个 MLMD 的模型可解释性表明,对模型预测最有影响的是临床相关特征。模型还表现出最小的性别偏差或没有性别偏差。

结论和相关性

这项研究的结果表明,使用 MLMD 进行临床自动化的潜力。当集成到临床工作流程中时,MLMD 可能有潜力在患者就诊早期自主安排常见的 ED 测试,并向患者和临床医生提供可解释性。

https://cdn.ncbi.nlm.nih.gov/pmc/blobs/7b69/8928004/139c0285201f/jamanetwopen-e222599-g004.jpg
https://cdn.ncbi.nlm.nih.gov/pmc/blobs/7b69/8928004/e03f295ad9bb/jamanetwopen-e222599-g001.jpg
https://cdn.ncbi.nlm.nih.gov/pmc/blobs/7b69/8928004/3d5df0f0666f/jamanetwopen-e222599-g002.jpg
https://cdn.ncbi.nlm.nih.gov/pmc/blobs/7b69/8928004/d22a233503c5/jamanetwopen-e222599-g003.jpg
https://cdn.ncbi.nlm.nih.gov/pmc/blobs/7b69/8928004/139c0285201f/jamanetwopen-e222599-g004.jpg
https://cdn.ncbi.nlm.nih.gov/pmc/blobs/7b69/8928004/e03f295ad9bb/jamanetwopen-e222599-g001.jpg
https://cdn.ncbi.nlm.nih.gov/pmc/blobs/7b69/8928004/3d5df0f0666f/jamanetwopen-e222599-g002.jpg
https://cdn.ncbi.nlm.nih.gov/pmc/blobs/7b69/8928004/d22a233503c5/jamanetwopen-e222599-g003.jpg
https://cdn.ncbi.nlm.nih.gov/pmc/blobs/7b69/8928004/139c0285201f/jamanetwopen-e222599-g004.jpg

相似文献

1
Assessment of Machine Learning-Based Medical Directives to Expedite Care in Pediatric Emergency Medicine.基于机器学习的医疗指令在儿科急诊医学中的应用评估。
JAMA Netw Open. 2022 Mar 1;5(3):e222599. doi: 10.1001/jamanetworkopen.2022.2599.
2
A Machine Learning Approach to Predicting Need for Hospitalization for Pediatric Asthma Exacerbation at the Time of Emergency Department Triage.一种机器学习方法,用于预测儿科哮喘急诊分诊时需要住院治疗的情况。
Acad Emerg Med. 2018 Dec;25(12):1463-1470. doi: 10.1111/acem.13655. Epub 2018 Nov 29.
3
Criticality index conducted in pediatric emergency department triage.儿科急诊科分诊中的危急度指数
Am J Emerg Med. 2021 Oct;48:209-217. doi: 10.1016/j.ajem.2021.05.004. Epub 2021 May 6.
4
Machine Learning-Based Prediction of Clinical Outcomes for Children During Emergency Department Triage.基于机器学习的急诊科分诊中儿童临床结局预测。
JAMA Netw Open. 2019 Jan 4;2(1):e186937. doi: 10.1001/jamanetworkopen.2018.6937.
5
Emergency Severity Index Version 4 and Triage of Pediatric Emergency Department Patients.急诊严重指数第四版与儿科急诊患者分诊。
JAMA Pediatr. 2024 Oct 1;178(10):1027-1034. doi: 10.1001/jamapediatrics.2024.2671.
6
Predicting hospitalization of pediatric asthma patients in emergency departments using machine learning.使用机器学习预测急诊儿科哮喘患者的住院情况。
Int J Med Inform. 2021 Jul;151:104468. doi: 10.1016/j.ijmedinf.2021.104468. Epub 2021 Apr 20.
7
Development and Assessment of an Interpretable Machine Learning Triage Tool for Estimating Mortality After Emergency Admissions.开发和评估一种可解释的机器学习分诊工具,用于估算急诊入院后的死亡率。
JAMA Netw Open. 2021 Aug 2;4(8):e2118467. doi: 10.1001/jamanetworkopen.2021.18467.
8
Emergency department triage prediction of clinical outcomes using machine learning models.运用机器学习模型对急诊科患者临床结局进行分诊预测。
Crit Care. 2019 Feb 22;23(1):64. doi: 10.1186/s13054-019-2351-7.
9
Comparison of Machine Learning Optimal Classification Trees With the Pediatric Emergency Care Applied Research Network Head Trauma Decision Rules.机器学习最优分类树与儿科急诊护理应用研究网络头部创伤决策规则的比较。
JAMA Pediatr. 2019 Jul 1;173(7):648-656. doi: 10.1001/jamapediatrics.2019.1068.
10
Machine learning to identify attributes that predict patients who leave without being seen in a pediatric emergency department.机器学习识别预测儿科急诊未就诊患者的属性。
CJEM. 2023 Aug;25(8):689-694. doi: 10.1007/s43678-023-00545-8. Epub 2023 Jul 28.

引用本文的文献

1
Prenatal diagnosis of cerebellar hypoplasia in fetal ultrasound using deep learning under the constraint of the anatomical structures of the cerebellum and cistern.在小脑及脑池解剖结构的约束下,利用深度学习进行胎儿超声小脑发育不全的产前诊断。
Pediatr Radiol. 2025 Sep 5. doi: 10.1007/s00247-025-06376-2.
2
AI-Driven Injury Reporting in Pediatric Emergency Departments.儿科急诊科中由人工智能驱动的损伤报告
JAMA Netw Open. 2025 Jul 1;8(7):e2524154. doi: 10.1001/jamanetworkopen.2025.24154.
3
A Systematic Integration of Artificial Intelligence Models in Appendicitis Management: A Comprehensive Review.

本文引用的文献

1
From Clinic to Computer and Back Again: Practical Considerations When Designing and Implementing Machine Learning Solutions for Pediatrics.从临床到计算机再回归临床:为儿科设计与实施机器学习解决方案时的实际考量
Curr Treat Options Pediatr. 2020;6(4):336-349. doi: 10.1007/s40746-020-00205-4. Epub 2020 Sep 15.
2
A call for social informatics.呼吁社会信息学。
J Am Med Inform Assoc. 2020 Nov 1;27(11):1798-1801. doi: 10.1093/jamia/ocaa175.
3
Identifying Ethical Considerations for Machine Learning Healthcare Applications.识别机器学习医疗应用的伦理问题。
人工智能模型在阑尾炎管理中的系统整合:全面综述
Diagnostics (Basel). 2025 Mar 28;15(7):866. doi: 10.3390/diagnostics15070866.
4
Virtual emergency departments: enabling accessible and compassionate care through inclusive technology.虚拟急诊科:通过包容性技术提供可及且富有同情心的护理。
CJEM. 2025 Mar;27(3):157-158. doi: 10.1007/s43678-025-00878-6.
5
LesionScanNet: dual-path convolutional neural network for acute appendicitis diagnosis.病变扫描网络:用于急性阑尾炎诊断的双路径卷积神经网络
Health Inf Sci Syst. 2024 Dec 7;13(1):3. doi: 10.1007/s13755-024-00321-7. eCollection 2025 Dec.
6
The application of explainable artificial intelligence (XAI) in electronic health record research: A scoping review.可解释人工智能(XAI)在电子健康记录研究中的应用:一项范围综述。
Digit Health. 2024 Oct 30;10:20552076241272657. doi: 10.1177/20552076241272657. eCollection 2024 Jan-Dec.
7
Perspectives on AI use in medicine: views of the Italian Society of Artificial Intelligence in Medicine.人工智能在医学中的应用展望:意大利人工智能医学学会观点。
J Prev Med Hyg. 2024 Aug 31;65(2):E285-E289. doi: 10.15167/2421-4248/jpmh2024.65.2.3261. eCollection 2024 Jun.
8
A framework for multi-scale intervention modeling: virtual cohorts, virtual clinical trials, and model-to-model comparisons.多尺度干预建模框架:虚拟队列、虚拟临床试验及模型间比较
Front Syst Biol. 2023;3. doi: 10.3389/fsysb.2023.1283341. Epub 2024 Jan 21.
9
The testing of AI in medicine is a mess. Here's how it should be done.人工智能在医学领域的测试一团糟。以下是正确的做法。
Nature. 2024 Aug;632(8026):722-724. doi: 10.1038/d41586-024-02675-0.
10
Justification: gain or game.理由:利益或博弈。
Radiol Bras. 2024 May 7;57:e20230117. doi: 10.1590/0100-3984.2023.0117. eCollection 2024 Jan-Dec.
Am J Bioeth. 2020 Nov;20(11):7-17. doi: 10.1080/15265161.2020.1819469.
4
Machine intelligence in healthcare-perspectives on trustworthiness, explainability, usability, and transparency.医疗保健中的机器智能——关于可信度、可解释性、可用性和透明度的观点
NPJ Digit Med. 2020 Mar 26;3:47. doi: 10.1038/s41746-020-0254-2. eCollection 2020.
5
Dissecting racial bias in an algorithm used to manage the health of populations.剖析用于管理人群健康的算法中的种族偏见。
Science. 2019 Oct 25;366(6464):447-453. doi: 10.1126/science.aax2342.
6
Overtesting and overtreatment-statement from the European Academy of Paediatrics (EAP).过度检查和过度治疗——欧洲儿科学会(EAP)的声明。
Eur J Pediatr. 2019 Dec;178(12):1923-1927. doi: 10.1007/s00431-019-03461-1. Epub 2019 Sep 10.
7
Do no harm: a roadmap for responsible machine learning for health care.《医疗保健负责任机器学习的路线图:不造成伤害》。
Nat Med. 2019 Sep;25(9):1337-1340. doi: 10.1038/s41591-019-0548-6. Epub 2019 Aug 19.
8
The impact of pediatric emergency department crowding on patient and health care system outcomes: a multicentre cohort study.儿科急诊拥挤对患者和医疗系统结局的影响:一项多中心队列研究。
CMAJ. 2019 Jun 10;191(23):E627-E635. doi: 10.1503/cmaj.181426.
9
Framing the challenges of artificial intelligence in medicine.阐述医学领域中人工智能面临的挑战。
BMJ Qual Saf. 2019 Mar;28(3):238-241. doi: 10.1136/bmjqs-2018-008551. Epub 2018 Oct 5.
10
Evaluating a medical directive for nurse-initiated analgesia in the Emergency Department.评估急诊科护士启动镇痛治疗的医疗指令。
Int Emerg Nurs. 2017 Nov;35:13-18. doi: 10.1016/j.ienj.2017.05.005. Epub 2017 Jun 21.