Suppr超能文献

两种世界卫生组织批准的 SARS-CoV-2 抗原检测试剂盒在检测 SARS-CoV-2 感染患者中的敏感性和特异性。

Sensitivity and specificity of two WHO approved SARS-CoV2 antigen assays in detecting patients with SARS-CoV2 infection.

机构信息

Allergy Immunology and Cell Biology Unit, Department of Immunology and Molecular Medicine, Faculty of Medical Sciences, University of Sri Jayewardenepura, Nugegoda, Sri Lanka.

Colombo Municipality Council, Colombo, Sri Lanka.

出版信息

BMC Infect Dis. 2022 Mar 22;22(1):276. doi: 10.1186/s12879-022-07240-6.

Abstract

BACKGROUND

SARS-CoV-2 rapid antigen (Ag) detection kits are widely used in addition to quantitative reverse transcription PCR PCR (RT-qPCR), as they are cheaper with a rapid turnaround time. As there are many concerns regarding their sensitivity and specificity, in different settings, we evaluated two WHO approved rapid Ag kits in a large cohort of Sri Lankan individuals.

METHODS

Paired nasopharangeal swabs were obtained from 4786 participants for validation of the SD-Biosensor rapid Ag assay and 3325 for the Abbott rapid Ag assay, in comparison to RT-qPCR. A short questionnaire was used to record symptoms at the time of testing, and blood samples were obtained from 2721 of them for detection of SARS-CoV-2 specific antibodies.

RESULTS

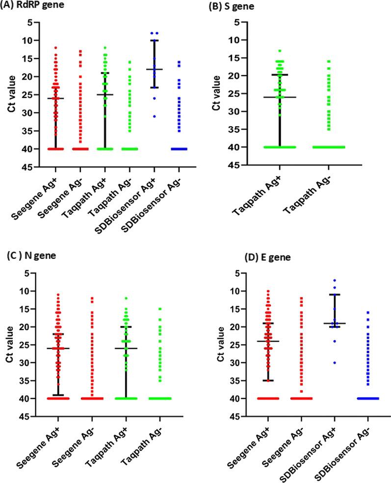
The overall sensitivity of the SD-Biosensor Ag kit was 36.5% and the Abbott Ag test was 50.76%. The Abbott Ag test showed specificity of 99.4% and the SD-Biosensor Ag test 97.5%. At Ct values < 25, the sensitivity was 71.3% to 76.6% for the SD-Biosensor Ag test and 77.3% to 88.9% for the Abbott Ag test. The Ct values for all genes (RdRP, S, E and N) tested with all RT-qPCR kits were significantly lower for the positive results of the Abbott Ag test compared to the SD-Biosensor test. 209 (48.04%) individuals who had antibodies gave a positive RT-qPCR result, and antibody positivity rates were higher at Ct values > 30 (46.1 to 82.9%). 32.1% of those who gave a positive result with the SD-Biosensor Ag test and 26.3% of those who gave positive results with the Abbott Ag test had SARS-CoV-2 antibodies at the time of detection.

CONCLUSIONS

Both rapid Ag tests appeared to be highly sensitive in detecting individuals at lower Ct values, in a community setting in Sri Lanka, but it will be important to further establish the relationship to infectivity.

摘要

背景

SARS-CoV-2 快速抗原(Ag)检测试剂盒除了定量逆转录 PCR(RT-qPCR)外,由于其价格更便宜且周转时间更快,因此应用广泛。由于在不同环境下,其敏感性和特异性存在许多问题,我们评估了两种世界卫生组织批准的快速 Ag 试剂盒,在斯里兰卡的一个大样本队列中进行了评估。

方法

对 4786 名参与者采集鼻咽拭子,对 SD-Biosensor 快速 Ag 检测和 3325 名参与者采集 Abbott 快速 Ag 检测进行验证,以 RT-qPCR 为对照。使用简短的问卷记录检测时的症状,并从其中 2721 名参与者中采集血液样本,用于检测 SARS-CoV-2 特异性抗体。

结果

SD-Biosensor Ag 试剂盒的总敏感性为 36.5%,Abbott Ag 试剂盒为 50.76%。Abbott Ag 试剂盒的特异性为 99.4%,SD-Biosensor Ag 试剂盒为 97.5%。在 Ct 值<25 时,SD-Biosensor Ag 试剂盒的敏感性为 71.3%至 76.6%,Abbott Ag 试剂盒的敏感性为 77.3%至 88.9%。与 SD-Biosensor 检测相比,所有用于所有 RT-qPCR 试剂盒的基因(RdRP、S、E 和 N)的 Ct 值均明显更低。209 名(48.04%)具有抗体的个体的 RT-qPCR 结果呈阳性,并且在 Ct 值>30(46.1 至 82.9%)时抗体阳性率更高。SD-Biosensor Ag 试验阳性的 32.1%和 Abbott Ag 试验阳性的 26.3%的个体在检测时具有 SARS-CoV-2 抗体。

结论

在斯里兰卡的社区环境中,这两种快速 Ag 检测方法在检测较低 Ct 值的个体时均显示出高度敏感性,但进一步确定与感染性的关系将非常重要。

https://cdn.ncbi.nlm.nih.gov/pmc/blobs/76a0/8939151/a659f5d39cd7/12879_2022_7240_Fig1_HTML.jpg

文献AI研究员

20分钟写一篇综述,助力文献阅读效率提升50倍。

立即体验

用中文搜PubMed

大模型驱动的PubMed中文搜索引擎

马上搜索

文档翻译

学术文献翻译模型,支持多种主流文档格式。

立即体验