Suppr超能文献

一种新型的无创连续核心体温测量仪:在急性脑卒中临床环境中与鼓膜温度的比较。

A Novel Non-Invasive Thermometer for Continuous Core Body Temperature: Comparison with Tympanic Temperature in an Acute Stroke Clinical Setting.

机构信息

Clinical Unit of Neurology, Department of Medicine, Surgery and Health Sciences, Cattinara University Hospital ASUGI, University of Trieste, Strada di Fiume, 447-34149 Trieste, Italy.

Department of Engineering and Architecture, University of Trieste, Via A. Valerio, 10-34127 Trieste, Italy.

出版信息

Sensors (Basel). 2022 Jun 23;22(13):4760. doi: 10.3390/s22134760.

Abstract

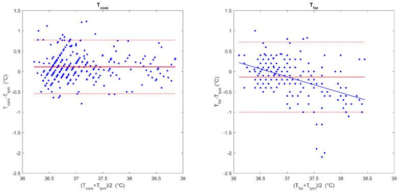
There is a growing research interest in wireless non-invasive solutions for core temperature estimation and their application in clinical settings. This study aimed to investigate the use of a novel wireless non-invasive heat flux-based thermometer in acute stroke patients admitted to a stroke unit and compare the measurements with the currently used infrared (IR) tympanic temperature readings. The study encompassed 30 acute ischemic stroke patients who underwent continuous measurement (Tcore) with the novel wearable non-invasive CORE device. Paired measurements of Tcore and tympanic temperature (Ttym) by using a standard IR-device were performed 3−5 times/day, yielding a total of 305 measurements. The predicted core temperatures (Tcore) were significantly correlated with Ttym (r = 0.89, p < 0.001). The comparison of the Tcore and Ttym measurements by Bland−Altman analysis showed a good agreement between them, with a low mean difference of 0.11 ± 0.34 °C, and no proportional bias was observed (B = −0.003, p = 0.923). The Tcore measurements correctly predicted the presence or absence of Ttym hyperthermia or fever in 94.1% and 97.4% of cases, respectively. Temperature monitoring with a novel wireless non-invasive heat flux-based thermometer could be a reliable alternative to the Ttym method for assessing core temperature in acute ischemic stroke patients.

摘要

目前,人们对无线非侵入性解决方案在核心温度估计及其在临床环境中的应用越来越感兴趣。本研究旨在调查一种新型无线非侵入性热通量温度计在急性脑卒中患者中的应用,并将其与目前使用的红外(IR)鼓膜温度读数进行比较。该研究纳入了 30 名接受急性缺血性脑卒中治疗的患者,使用新型可穿戴式非侵入性 CORE 设备进行连续测量(Tcore)。使用标准 IR 设备对 Tcore 和鼓膜温度(Ttym)进行了 3-5 次/天的配对测量,共获得了 305 次测量值。Tcore 与 Ttym 的预测值呈显著相关(r = 0.89,p < 0.001)。Bland-Altman 分析比较 Tcore 和 Ttym 测量值,结果显示两者之间具有良好的一致性,平均差值为 0.11 ± 0.34°C,且未观察到比例偏差(B = -0.003,p = 0.923)。Tcore 测量值正确预测了 Ttym 高热或发热的存在或不存在,准确率分别为 94.1%和 97.4%。新型无线非侵入性热通量温度计的温度监测可能是评估急性缺血性脑卒中患者核心温度的一种可靠替代 Ttym 方法。

https://cdn.ncbi.nlm.nih.gov/pmc/blobs/40ba/9269248/aabce75b6b22/sensors-22-04760-g001.jpg

文献AI研究员

20分钟写一篇综述,助力文献阅读效率提升50倍。

立即体验

用中文搜PubMed

大模型驱动的PubMed中文搜索引擎

马上搜索

文档翻译

学术文献翻译模型,支持多种主流文档格式。

立即体验