• 文献检索
  • 文档翻译
  • 深度研究
  • 学术资讯
  • Suppr Zotero 插件Zotero 插件
  • 邀请有礼
  • 套餐&价格
  • 历史记录
应用&插件
Suppr Zotero 插件Zotero 插件浏览器插件Mac 客户端Windows 客户端微信小程序
定价
高级版会员购买积分包购买API积分包
服务
文献检索文档翻译深度研究API 文档MCP 服务
关于我们
关于 Suppr公司介绍联系我们用户协议隐私条款
关注我们

Suppr 超能文献

核心技术专利:CN118964589B侵权必究
粤ICP备2023148730 号-1Suppr @ 2026

文献检索

告别复杂PubMed语法,用中文像聊天一样搜索,搜遍4000万医学文献。AI智能推荐,让科研检索更轻松。

立即免费搜索

文件翻译

保留排版,准确专业,支持PDF/Word/PPT等文件格式,支持 12+语言互译。

免费翻译文档

深度研究

AI帮你快速写综述,25分钟生成高质量综述,智能提取关键信息,辅助科研写作。

立即免费体验

辣椒素对酒渣鼻神经炎症介质的影响。

The Effect of Capsaicin on Neuroinflammatory Mediators of Rosacea.

作者信息

Kim Hyeon Bin, Na Eui Young, Yun Sook Jung, Lee Jee-Bum

机构信息

Department of Dermatology, Chonnam National University Medical School, Gwangju, Korea.

出版信息

Ann Dermatol. 2022 Aug;34(4):261-269. doi: 10.5021/ad.21.223.

DOI:10.5021/ad.21.223
PMID:35948328
原文链接:https://pmc.ncbi.nlm.nih.gov/articles/PMC9365654/
Abstract

BACKGROUND

Rosacea is a chronic inflammatory skin disease with a pathophysiological mechanism that remains unclear. Recently, dysregulation of the sensory nerve system has been implicated in the development of this condition.

OBJECTIVE

This study aimed to investigate the effect of capsaicin on neuroinflammatory mediators in rosacea. In addition, this study aimed to evaluate the attenuating effects of capsazepine, a transient receptor potential vanilloid type 1 (TRPV1) antagonist.

METHODS

We obtained skin tissue from both rosacea patients and normal individuals for an study. In addition, normal human epidermal keratinocytes (NHEKs) were cultured, and treated with capsaicin and capsazepine for an study. Quantitative changes in neuroinflammatory mediators were evaluated by semi-quantitative reverse transcription-polymerase chain reaction (PCR), real-time PCR, enzyme-linked immunosorbent assay, and immunofluorescence staining.

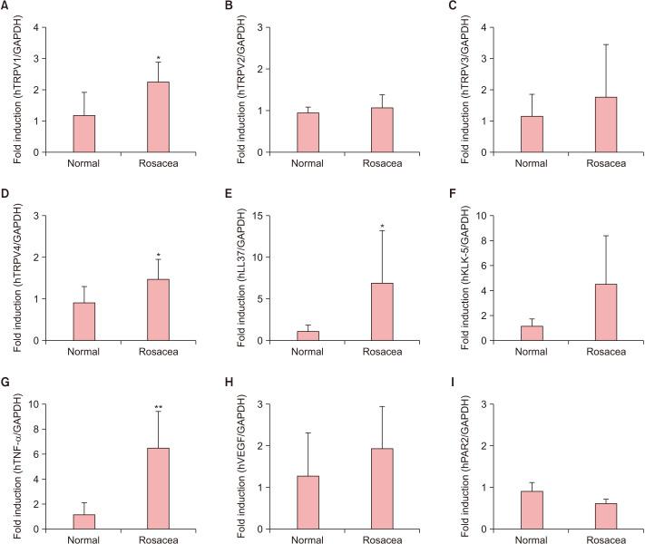
RESULTS

The data showed the increase of TRPV1, TRPV4, cathelicidin (LL37) and tumor necrosis factor-α (TNF-α) in skin tissue by real-time PCR. In addition, the data showed that cathelicidin (LL37), kallikrein-5 (KLK-5), TNF-α, vascular endothelial growth factor (VEGF), interleukin (IL)-1α, IL-1β, IL-8, and protease-activated receptor 2 (PAR2) increased in capsaicin-treated NHEKs. Capsazepine attenuated the expression of TRPV1 and other mediators, except for IL-8, in capsaicin-treated NHEKs.

CONCLUSION

We confirmed that TRPV1, TRPV4, cathelicidin (LL37) and TNF-α are increased in rosacea skin, and that capsaicin is associated with increase of neuroinflammatory mediators such as LL37, KLK-5, TNF-α, VEGF, IL-1α, IL-1β, IL-8, and PAR2. Modulators or inhibitors of neuroinflammatory mediators including TRPV1 could be potential therapeutic option in the treatment of patients with rosacea.

摘要

背景

酒渣鼻是一种慢性炎症性皮肤病,其病理生理机制尚不清楚。最近,感觉神经系统失调被认为与这种疾病的发生有关。

目的

本研究旨在探讨辣椒素对酒渣鼻神经炎症介质的影响。此外,本研究旨在评估瞬时受体电位香草酸受体1(TRPV1)拮抗剂辣椒平的减轻作用。

方法

我们获取了酒渣鼻患者和正常个体的皮肤组织进行研究。此外,培养正常人表皮角质形成细胞(NHEK),并用辣椒素和辣椒平进行处理以进行研究。通过半定量逆转录-聚合酶链反应(PCR)、实时PCR、酶联免疫吸附测定和免疫荧光染色评估神经炎症介质的定量变化。

结果

实时PCR数据显示皮肤组织中TRPV1、TRPV4、抗菌肽(LL37)和肿瘤坏死因子-α(TNF-α)增加。此外,数据显示在辣椒素处理的NHEK中,抗菌肽(LL37)、激肽释放酶-5(KLK-5)、TNF-α、血管内皮生长因子(VEGF)、白细胞介素(IL)-1α、IL-1β、IL-8和蛋白酶激活受体2(PAR2)增加。辣椒平减弱了辣椒素处理的NHEK中TRPV1和其他介质(IL-8除外)的表达。

结论

我们证实酒渣鼻皮肤中TRPV1、TRPV4、抗菌肽(LL37)和TNF-α增加,并且辣椒素与LL37、KLK-5、TNF-α、VEGF、IL-1α、IL-1β、IL-8和PAR2等神经炎症介质的增加有关。包括TRPV1在内的神经炎症介质的调节剂或抑制剂可能是治疗酒渣鼻患者的潜在治疗选择。

https://cdn.ncbi.nlm.nih.gov/pmc/blobs/fc0e/9365654/92415fc0769a/ad-34-261-g005.jpg
https://cdn.ncbi.nlm.nih.gov/pmc/blobs/fc0e/9365654/46b0efcac403/ad-34-261-g001.jpg
https://cdn.ncbi.nlm.nih.gov/pmc/blobs/fc0e/9365654/23d43f9636dc/ad-34-261-g002.jpg
https://cdn.ncbi.nlm.nih.gov/pmc/blobs/fc0e/9365654/1b83a3dd0965/ad-34-261-g003.jpg
https://cdn.ncbi.nlm.nih.gov/pmc/blobs/fc0e/9365654/a73edf90ea01/ad-34-261-g004.jpg
https://cdn.ncbi.nlm.nih.gov/pmc/blobs/fc0e/9365654/92415fc0769a/ad-34-261-g005.jpg
https://cdn.ncbi.nlm.nih.gov/pmc/blobs/fc0e/9365654/46b0efcac403/ad-34-261-g001.jpg
https://cdn.ncbi.nlm.nih.gov/pmc/blobs/fc0e/9365654/23d43f9636dc/ad-34-261-g002.jpg
https://cdn.ncbi.nlm.nih.gov/pmc/blobs/fc0e/9365654/1b83a3dd0965/ad-34-261-g003.jpg
https://cdn.ncbi.nlm.nih.gov/pmc/blobs/fc0e/9365654/a73edf90ea01/ad-34-261-g004.jpg
https://cdn.ncbi.nlm.nih.gov/pmc/blobs/fc0e/9365654/92415fc0769a/ad-34-261-g005.jpg

相似文献

1
The Effect of Capsaicin on Neuroinflammatory Mediators of Rosacea.辣椒素对酒渣鼻神经炎症介质的影响。
Ann Dermatol. 2022 Aug;34(4):261-269. doi: 10.5021/ad.21.223.
2
Citron Essential Oils Alleviate the Mediators Related to Rosacea Pathophysiology in Epidermal Keratinocytes.香橼精油可减轻表皮角质形成细胞中与酒渣鼻病理生理学相关的介质。
Ann Dermatol. 2018 Dec;30(6):653-661. doi: 10.5021/ad.2018.30.6.653. Epub 2018 Oct 26.
3
Light-emitting diodes downregulate cathelicidin, kallikrein and toll-like receptor 2 expressions in keratinocytes and rosacea-like mouse skin.发光二极管可下调角质形成细胞和酒渣鼻样小鼠皮肤中杀菌肽、激肽释放酶和Toll样受体2的表达。
Exp Dermatol. 2016 Dec;25(12):956-961. doi: 10.1111/exd.13133. Epub 2016 Oct 3.
4
Effects of dextran sulfate, 4-t-butylcyclohexanol, pongamia oil and hesperidin methyl chalcone on inflammatory and vascular responses implicated in rosacea.硫酸葡聚糖、4-叔丁基环己醇、水黄皮油和橙皮苷甲基查耳酮对酒渣鼻所涉及的炎症和血管反应的影响。
Clin Cosmet Investig Dermatol. 2018 Sep 7;11:421-429. doi: 10.2147/CCID.S168621. eCollection 2018.
5
Cutaneous neurogenic inflammation mediated by TRPV1-NGF-TRKA pathway activation in rosacea is exacerbated by the presence of Demodex mites.在酒渣鼻中,TRPV1-NGF-TRKA 通路的激活介导的皮肤神经原性炎症可被蠕形螨的存在加重。
J Eur Acad Dermatol Venereol. 2023 Dec;37(12):2589-2600. doi: 10.1111/jdv.19449. Epub 2023 Aug 29.
6
Cell-free adipose tissue extracts as a novel treatment for rosacea by downregulating TRPV1.无细胞脂肪组织提取物通过下调 TRPV1 成为治疗酒渣鼻的一种新方法。
Sci Rep. 2024 Sep 18;14(1):21759. doi: 10.1038/s41598-024-72593-8.
7
Signaling pathways and targeted therapy for rosacea.酒渣鼻的信号通路和靶向治疗。
Front Immunol. 2024 Sep 16;15:1367994. doi: 10.3389/fimmu.2024.1367994. eCollection 2024.
8
The Preemptive Analgesic Effect of Capsaicin Involves Attenuations of Epidermal Keratinocytes Proliferation and Expression of Pro-Inflammatory Mediators After Plantar Incision in Rats.辣椒素的超前镇痛作用涉及大鼠足底切开术后表皮角质形成细胞增殖的减弱和促炎介质的表达。
J Pain Res. 2023 Jan 19;16:141-149. doi: 10.2147/JPR.S395065. eCollection 2023.
9
Distribution and expression of non-neuronal transient receptor potential (TRPV) ion channels in rosacea.TRPV 离子通道在酒渣鼻中的分布与表达。
J Invest Dermatol. 2012 Apr;132(4):1253-62. doi: 10.1038/jid.2011.424. Epub 2011 Dec 22.
10
Inflammatory stimuli up-regulate transient receptor potential vanilloid-1 expression in human bronchial fibroblasts.炎症刺激上调人支气管成纤维细胞中瞬时受体电位香草酸亚型1的表达。
Exp Lung Res. 2012 Mar;38(2):75-81. doi: 10.3109/01902148.2011.644027. Epub 2012 Jan 13.

引用本文的文献

1
Capsaicinoid Profiles, Phenolic Content, and Antioxidant Properties of Chili Peppers Grown in Urban Settings.城市环境中种植的辣椒的辣椒素类物质概况、酚类含量及抗氧化特性
Int J Mol Sci. 2025 May 20;26(10):4916. doi: 10.3390/ijms26104916.
2
Update on protease-activated receptor 2 in inflammatory and autoimmune dermatological diseases.蛋白酶激活受体 2 在炎症性和自身免疫性皮肤病中的研究进展。
Front Immunol. 2024 Sep 19;15:1449126. doi: 10.3389/fimmu.2024.1449126. eCollection 2024.
3
Signaling pathways and targeted therapy for rosacea.酒渣鼻的信号通路和靶向治疗。

本文引用的文献

1
Citron Essential Oils Alleviate the Mediators Related to Rosacea Pathophysiology in Epidermal Keratinocytes.香橼精油可减轻表皮角质形成细胞中与酒渣鼻病理生理学相关的介质。
Ann Dermatol. 2018 Dec;30(6):653-661. doi: 10.5021/ad.2018.30.6.653. Epub 2018 Oct 26.
2
Capsaicin: TRPV1-independent mechanisms and novel therapeutic possibilities.辣椒素:TRPV1 非依赖性机制和新的治疗可能性。
Eur J Pharmacol. 2020 Nov 15;887:173356. doi: 10.1016/j.ejphar.2020.173356. Epub 2020 Aug 4.
3
Recent advances in understanding and managing rosacea.
Front Immunol. 2024 Sep 16;15:1367994. doi: 10.3389/fimmu.2024.1367994. eCollection 2024.
4
The role of TRPV1 in RA pathogenesis: worthy of attention.TRPV1 在 RA 发病机制中的作用:值得关注。
Front Immunol. 2023 Sep 8;14:1232013. doi: 10.3389/fimmu.2023.1232013. eCollection 2023.
5
New Insights into the Mutual Promotion of Rosacea, Anxiety, and Depression from Neuroendocrine Immune Aspects.从神经内分泌免疫角度对玫瑰痤疮、焦虑和抑郁相互促进关系的新见解
Clin Cosmet Investig Dermatol. 2023 May 29;16:1363-1371. doi: 10.2147/CCID.S413237. eCollection 2023.
酒渣鼻认识与管理的最新进展
F1000Res. 2018 Dec 3;7. doi: 10.12688/f1000research.16537.1. eCollection 2018.
4
Rosacea Pathogenesis.酒渣鼻发病机制。
Dermatol Clin. 2018 Apr;36(2):81-86. doi: 10.1016/j.det.2017.11.001. Epub 2017 Dec 15.
5
Rosacea.酒渣鼻
N Engl J Med. 2017 Nov 2;377(18):1754-1764. doi: 10.1056/NEJMcp1506630.
6
Capsaicin, Nociception and Pain.辣椒素、伤害感受与疼痛
Molecules. 2016 Jun 18;21(6):797. doi: 10.3390/molecules21060797.
7
Kallikrein 5-mediated inflammation in rosacea: clinically relevant correlations with acute and chronic manifestations in rosacea and how individual treatments may provide therapeutic benefit.激肽释放酶5介导的玫瑰痤疮炎症:与玫瑰痤疮急性和慢性表现的临床相关关系以及个体治疗如何提供治疗益处。
J Clin Aesthet Dermatol. 2014 Jan;7(1):20-5.
8
New insights into rosacea pathophysiology: a review of recent findings.玫瑰痤疮发病机制的新见解:对最新发现的综述。
J Am Acad Dermatol. 2013 Dec;69(6 Suppl 1):S15-26. doi: 10.1016/j.jaad.2013.04.045.
9
Rosacea under the microscope: characteristic histological findings.酒渣鼻的显微镜下表现:特征性组织学发现。
J Eur Acad Dermatol Venereol. 2013 Nov;27(11):1336-43. doi: 10.1111/jdv.12121. Epub 2013 Mar 4.
10
Distribution and expression of non-neuronal transient receptor potential (TRPV) ion channels in rosacea.TRPV 离子通道在酒渣鼻中的分布与表达。
J Invest Dermatol. 2012 Apr;132(4):1253-62. doi: 10.1038/jid.2011.424. Epub 2011 Dec 22.