Department of Physics, School of Science, Jimei University, Xiamen 361021, China.
College of Materials Science and Engineering, Shenzhen University, Shenzhen 518000, China.
Int J Mol Sci. 2022 Oct 26;23(21):12912. doi: 10.3390/ijms232112912.
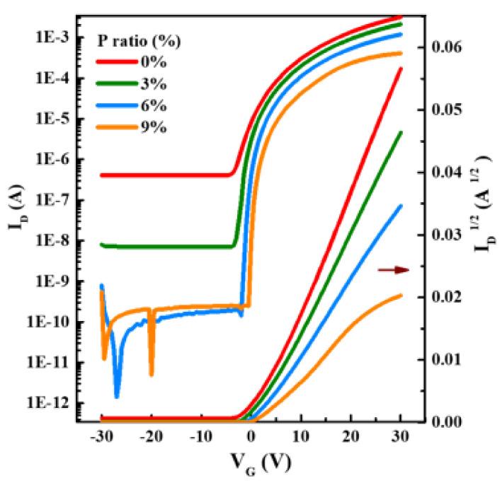
Solution-grown indium oxide (InO) based thin-film transistors (TFTs) hold good prospects for emerging advanced electronics due to their excellent mobility, prominent transparency, and possibility of low-cost and scalable manufacturing; however, pristine InO TFTs suffer from poor switching characteristics due to intrinsic oxygen-vacancy-related defects and require external doping. According to Shanmugam's theory, among potential dopants, phosphorus (P) has a large dopant-oxygen bonding strength (E) and high Lewis acid strength (L) that would suppress oxygen-vacancy related defects and mitigate dopant-induced carrier scattering; however, P-doped InO (IPO) TFTs have not yet been demonstrated. Here, we report aqueous solution-grown crystalline IPO TFTs for the first time. It is suggested that the incorporation of P could effectively inhibit oxygen-vacancy-related defects while maintaining high mobility. This work experimentally demonstrates that dopant with high E and L is promising for emerging oxide TFTs.
溶液生长的氧化铟(InO)基薄膜晶体管(TFT)由于其出色的迁移率、突出的透明度以及低成本和可扩展制造的可能性,在新兴先进电子产品方面具有广阔的前景;然而,由于本征氧空位相关缺陷,原始 InO TFT 存在较差的开关特性,需要外部掺杂。根据 Shanmugam 的理论,在潜在的掺杂剂中,磷(P)具有较大的掺杂-氧键合强度(E)和高路易斯酸强度(L),可抑制氧空位相关缺陷并减轻掺杂诱导的载流子散射;然而,尚未报道 P 掺杂的 InO(IPO)TFT。在这里,我们首次报道了水溶液生长的结晶 IPO TFT。研究表明,掺入 P 可以有效地抑制氧空位相关缺陷,同时保持高迁移率。这项工作从实验上证明了具有高 E 和 L 的掺杂剂对于新兴的氧化物 TFT 是有前途的。