Suppr超能文献

孕期和新生儿健康与斋月——禁食、饮食构成和睡眠模式。

Ramadan during pregnancy and neonatal health-Fasting, dietary composition and sleep patterns.

机构信息

Chair of Statistics and Econometrics, Faculty of Law, Management and Economics, Johannes Gutenberg-University, Mainz, Germany.

Department of Obstetrics and Gynecology, University Medical Center of Johannes Gutenberg-University, Mainz, Germany.

出版信息

PLoS One. 2023 Feb 15;18(2):e0281051. doi: 10.1371/journal.pone.0281051. eCollection 2023.

Abstract

BACKGROUND AND OBJECTIVES

Large shares of pregnant Muslims worldwide observe the Ramadan fast. Previous research showed that Ramadan during pregnancy is associated with adverse offspring health outcomes lasting throughout the life-course. Evidence on effects on birth outcomes is inconclusive, however, and previous research did not consider the role of dietary composition and sleep patterns during Ramadan. This study systematically documents maternal lifestyle during Ramadan and assesses if diet and sleep adaptations to Ramadan, independent of and in addition to maternal fasting, are associated with neonatal health outcomes.

METHODS

This study reports a survey of 326 Muslims who delivered their baby in Mainz, Germany, linked to maternal & infant hospital records. Participants reported on fasting, dietary composition and sleep schedules while pregnant during Ramadan.

RESULTS

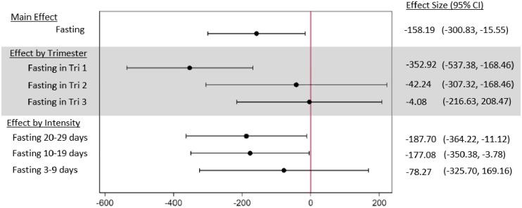
Fasting during pregnancy was associated with reduced birthweight, in particular for fasting during the first trimester (-352ˑ92g, 95% CI: -537ˑ38; -168ˑ46). Neither dietary composition nor altered sleep were directly associated with birthweight. However, dietary composition during Ramadan outside of fasting hours seems to moderate the fasting-birthweight association, which disappeared for women switching to high-fat diets.

CONCLUSIONS

The finding that dietary intake during Ramadan potentially moderates the fasting-birthweight association is of high relevance to pregnant Muslims who wish to fast and their healthcare professionals, since dietary choices outside of fasting hours are often relatively easily modifiable. This is the first study to include information on maternal diet and sleep during Ramadan, and additional research is needed to assess the roles of specific (macro)nutrients and food groups.

摘要

背景和目的

全球有很大一部分穆斯林孕妇会遵守斋月禁食。既往研究表明,孕妇在斋月期间进行斋戒与后代在整个生命过程中出现不良健康结果有关。然而,关于其对出生结局影响的证据并不明确,且既往研究并未考虑斋月期间的饮食构成和睡眠模式。本研究系统地记录了孕妇在斋月期间的生活方式,并评估了饮食和睡眠对斋月的适应情况(与母体斋戒独立和共同作用)是否与新生儿健康结局有关。

方法

本研究报告了一项对在德国美因茨分娩的 326 名穆斯林的调查,该调查与母婴医院记录相关联。参与者报告了在怀孕期间怀孕期间进行斋戒、饮食构成和睡眠时间表。

结果

孕妇在怀孕期间进行斋戒与出生体重减轻有关,特别是在孕早期进行斋戒时(-352ˑ92g,95%CI:-537ˑ38;-168ˑ46)。饮食构成或改变睡眠均与出生体重无直接关联。然而,斋月期间非禁食时间的饮食构成似乎可以调节禁食与出生体重的关联,对于转换为高脂肪饮食的女性,这种关联消失了。

结论

斋月期间的饮食摄入可能会调节禁食与出生体重的关联,这对于希望斋戒的孕妇及其医疗保健专业人员具有重要意义,因为非禁食时间的饮食选择通常更容易改变。这是第一项纳入孕妇在斋月期间饮食和睡眠信息的研究,还需要进一步的研究来评估特定(宏)营养素和食物组的作用。

https://cdn.ncbi.nlm.nih.gov/pmc/blobs/8891/9931121/c5d320634046/pone.0281051.g001.jpg

文献AI研究员

20分钟写一篇综述,助力文献阅读效率提升50倍。

立即体验

用中文搜PubMed

大模型驱动的PubMed中文搜索引擎

马上搜索

文档翻译

学术文献翻译模型,支持多种主流文档格式。

立即体验