• 文献检索
  • 文档翻译
  • 深度研究
  • 学术资讯
  • Suppr Zotero 插件Zotero 插件
  • 邀请有礼
  • 套餐&价格
  • 历史记录
应用&插件
Suppr Zotero 插件Zotero 插件浏览器插件Mac 客户端Windows 客户端微信小程序
定价
高级版会员购买积分包购买API积分包
服务
文献检索文档翻译深度研究API 文档MCP 服务
关于我们
关于 Suppr公司介绍联系我们用户协议隐私条款
关注我们

Suppr 超能文献

核心技术专利:CN118964589B侵权必究
粤ICP备2023148730 号-1Suppr @ 2026

文献检索

告别复杂PubMed语法,用中文像聊天一样搜索,搜遍4000万医学文献。AI智能推荐,让科研检索更轻松。

立即免费搜索

文件翻译

保留排版,准确专业,支持PDF/Word/PPT等文件格式,支持 12+语言互译。

免费翻译文档

深度研究

AI帮你快速写综述,25分钟生成高质量综述,智能提取关键信息,辅助科研写作。

立即免费体验

哪些膳食维生素和矿物质可能对帕金森病有保护作用?

What Dietary Vitamins and Minerals Might Be Protective against Parkinson's Disease?

作者信息

Alizadeh Mohammad, Kheirouri Sorayya, Keramati Majid

机构信息

Department of Nutrition, Faculty of Nutrition and Food Sciences, Tabriz University of Medical Sciences, Tabriz 5166614711, Iran.

Nutrition Research Center, Tabriz University of Medical Sciences, Tabriz 5166614711, Iran.

出版信息

Brain Sci. 2023 Jul 24;13(7):1119. doi: 10.3390/brainsci13071119.

DOI:10.3390/brainsci13071119
PMID:37509049
原文链接:https://pmc.ncbi.nlm.nih.gov/articles/PMC10377174/
Abstract

BACKGROUND AND OBJECTIVE

Dietary constituents may affect the progression of Parkinson's disease (PD). This study aimed to assess the contribution of dietary intake of vitamins and minerals to the severity, motor and non-motor symptoms, and risk of PD.

METHODS

In this case-control study, 120 patients with PD and 50 healthy participants participated. Dietary intake of vitamins and minerals was determined using a 147-item food frequency questionnaire. The severity of PD was determined by the Unified Parkinson's Disease Rating Scale (UPDRS).

RESULTS

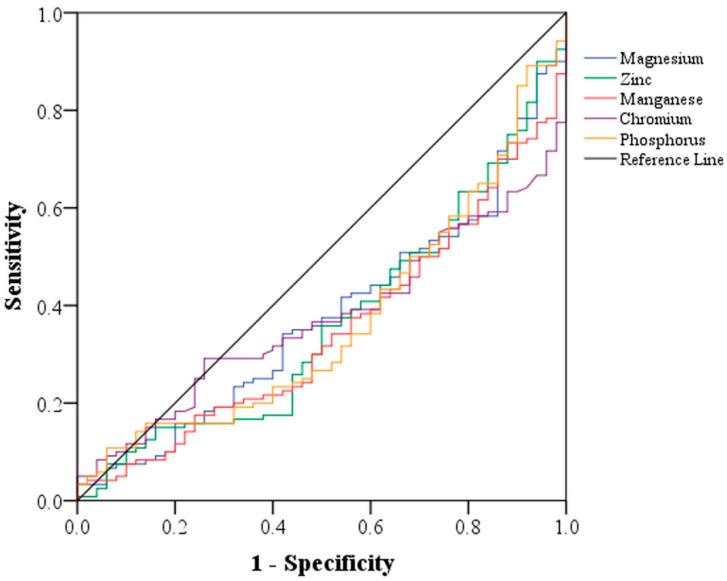
Patients with PD had lower intake of several vitamins and minerals including lycopene, thiamine, vitamin B6, vitamin B12, pantothenic acid, magnesium, zinc, manganese, selenium, chromium, and phosphorus, but had higher intake of α-tocopherol. High dietary intake of vitamin A, α-carotene, β-cryptoxanthin, vitamin C, and α-tocopherol were correlated with increased odds of PD. High intake of lycopene, thiamin, vitamin B6, pantothenic acid, magnesium, zinc, manganese, chromium, and phosphorous correlated with reduced odds of PD. The predictive power of α-tocopherol concerning the risk of PD was stronger relative to other vitamins. Dietary intake of pantothenic acid was negatively correlated with PD severity and symptoms of motor examination and complication. The severity and motor symptoms of PD were also negatively correlated with β-carotene, vitamin C, riboflavin, vitamin B6, and biotin intake. The UPDRS total score and motor symptoms in PD patients were negatively correlated with phosphorus, magnesium, zinc, manganese, and chromium, and strongly with potassium intake.

CONCLUSION

The findings indicate that adequate dietary intake of vitamins and minerals may have a preventive effect on developing PD and progression of motor decline.

摘要

背景与目的

饮食成分可能会影响帕金森病(PD)的进展。本研究旨在评估维生素和矿物质的饮食摄入量对PD严重程度、运动和非运动症状以及患病风险的影响。

方法

在这项病例对照研究中,120例PD患者和50名健康参与者参与其中。使用一份包含147个条目的食物频率问卷来确定维生素和矿物质的饮食摄入量。通过统一帕金森病评定量表(UPDRS)来确定PD的严重程度。

结果

PD患者几种维生素和矿物质的摄入量较低,包括番茄红素、硫胺素、维生素B6、维生素B12、泛酸、镁、锌、锰、硒、铬和磷,但α-生育酚的摄入量较高。高饮食摄入维生素A、α-胡萝卜素、β-隐黄质、维生素C和α-生育酚与PD患病几率增加相关。高摄入番茄红素、硫胺素、维生素B6、泛酸、镁、锌、锰、铬和磷与PD患病几率降低相关。相对于其他维生素,α-生育酚对PD风险的预测能力更强。泛酸的饮食摄入量与PD严重程度、运动检查症状和并发症呈负相关。PD的严重程度和运动症状也与β-胡萝卜素、维生素C、核黄素、维生素B6和生物素的摄入量呈负相关。PD患者UPDRS总分和运动症状与磷、镁、锌、锰和铬呈负相关,与钾摄入量呈强负相关。

结论

研究结果表明,充足的维生素和矿物质饮食摄入可能对PD的发生和运动功能衰退的进展具有预防作用。

https://cdn.ncbi.nlm.nih.gov/pmc/blobs/baa5/10377174/e0ea5f80975d/brainsci-13-01119-g002.jpg
https://cdn.ncbi.nlm.nih.gov/pmc/blobs/baa5/10377174/b61b919f7581/brainsci-13-01119-g001.jpg
https://cdn.ncbi.nlm.nih.gov/pmc/blobs/baa5/10377174/e0ea5f80975d/brainsci-13-01119-g002.jpg
https://cdn.ncbi.nlm.nih.gov/pmc/blobs/baa5/10377174/b61b919f7581/brainsci-13-01119-g001.jpg
https://cdn.ncbi.nlm.nih.gov/pmc/blobs/baa5/10377174/e0ea5f80975d/brainsci-13-01119-g002.jpg

相似文献

1
What Dietary Vitamins and Minerals Might Be Protective against Parkinson's Disease?哪些膳食维生素和矿物质可能对帕金森病有保护作用?
Brain Sci. 2023 Jul 24;13(7):1119. doi: 10.3390/brainsci13071119.
2
Nutritional intakes in community-dwelling older Japanese adults: high intakes of energy and protein based on high consumption of fish, vegetables and fruits provide sufficient micronutrients.日本社区居住的老年成年人的营养摄入情况:基于鱼类、蔬菜和水果的高消费量,能量和蛋白质的高摄入量提供了充足的微量营养素。
J Nutr Sci Vitaminol (Tokyo). 2004 Jun;50(3):184-95. doi: 10.3177/jnsv.50.184.
3
A comparison of dietary intake between personnel of a gas processing company and a sample population of public employees from Mashhad.一家天然气加工公司的员工与来自马什哈德的公职人员样本群体之间的饮食摄入量比较。
Clin Nutr ESPEN. 2020 Aug;38:124-128. doi: 10.1016/j.clnesp.2020.05.018. Epub 2020 Jun 12.
4
Predicting Unreported Micronutrients From Food Labels: Machine Learning Approach.从食品标签预测未报告的微量营养素:机器学习方法。
J Med Internet Res. 2023 Apr 12;25:e45332. doi: 10.2196/45332.
5
[Evaluation of the dietary intake of vitamins and minerals in the daily food rations by the students of the Rzeszów University].[热舒夫大学学生日常食物定量中维生素和矿物质的膳食摄入量评估]
Rocz Panstw Zakl Hig. 2012;63(4):441-6.
6
[Assessment of efficiency of dietotherapy with addition of a vitamin-mineral complex in patients with diabetes mellitus type 2].[对 2 型糖尿病患者添加维生素 - 矿物质复合物的饮食疗法效果评估]
Vopr Pitan. 2014;83(3):74-81.
7
Association of serum carotenoid, retinol, and tocopherol concentrations with the progression of Parkinson's Disease.血清类胡萝卜素、视黄醇和生育酚浓度与帕金森病进展的关联。
Nutr Res Pract. 2017 Apr;11(2):114-120. doi: 10.4162/nrp.2017.11.2.114. Epub 2016 Dec 15.
8
Assessment of Food Supplement Consumption in Polish Population of Adults.波兰成年人群体食品补充剂消费情况评估
Front Nutr. 2021 Oct 27;8:733951. doi: 10.3389/fnut.2021.733951. eCollection 2021.
9
Dietary intake of folate, vitamin B6, vitamin B12 and riboflavin and risk of Parkinson's disease: a case-control study in Japan.叶酸、维生素 B6、维生素 B12 和核黄素的饮食摄入与帕金森病风险的关系:日本的病例对照研究。
Br J Nutr. 2010 Sep;104(5):757-64. doi: 10.1017/S0007114510001005. Epub 2010 Mar 26.
10
Antioxidants, minerals and vitamins in relation to Crohn's disease and ulcerative colitis: A Mendelian randomization study.抗氧化剂、矿物质和维生素与克罗恩病和溃疡性结肠炎的关系:一项孟德尔随机研究。
Aliment Pharmacol Ther. 2023 Feb;57(4):399-408. doi: 10.1111/apt.17392. Epub 2023 Jan 16.

引用本文的文献

1
Exploring Risk and Protective Factors in Parkinson's Disease.探索帕金森病的风险因素和保护因素。
Cells. 2025 May 14;14(10):710. doi: 10.3390/cells14100710.
2
Localized Pantothenic Acid (Vitamin B5) Reductions Present Throughout the Dementia with Lewy Bodies Brain.路易体痴呆症大脑中普遍存在局部泛酸(维生素 B5)减少。
J Parkinsons Dis. 2024;14(5):965-976. doi: 10.3233/JPD-240075.
3
Association between serum potassium and Parkinson's disease in the US (NHANES 2005-2020).美国(2005 - 2020年国家健康与营养检查调查)血清钾与帕金森病之间的关联

本文引用的文献

1
Magnesium and the Brain: A Focus on Neuroinflammation and Neurodegeneration.镁与大脑:聚焦神经炎症与神经退行性变。
Int J Mol Sci. 2022 Dec 23;24(1):223. doi: 10.3390/ijms24010223.
2
Dietary β-carotene and vitamin A and risk of Parkinson disease: A protocol for systematic review and meta-analysis.饮食中的β-胡萝卜素、维生素 A 与帕金森病风险的关系:系统评价和荟萃分析方案。
Medicine (Baltimore). 2022 Oct 14;101(41):e31002. doi: 10.1097/MD.0000000000031002.
3
Zinc ions prevent α-synuclein aggregation by enhancing chaperone function of human serum albumin.
Front Neurosci. 2024 May 9;18:1387266. doi: 10.3389/fnins.2024.1387266. eCollection 2024.
4
The Interplay of Sports and Nutrition in Neurological Health and Recovery.运动与营养在神经健康和恢复中的相互作用。
J Clin Med. 2024 Apr 2;13(7):2065. doi: 10.3390/jcm13072065.
锌离子通过增强人血清白蛋白的伴侣功能来防止α-突触核蛋白聚集。
Int J Biol Macromol. 2022 Dec 1;222(Pt B):2878-2887. doi: 10.1016/j.ijbiomac.2022.10.066. Epub 2022 Oct 14.
4
Treadmill exercise reduces α-synuclein spreading via PPARα. treadmill 运动通过 PPARα 减少 α-突触核蛋白的扩散。
Cell Rep. 2022 Jul 12;40(2):111058. doi: 10.1016/j.celrep.2022.111058.
5
Dietary Inflammatory Index score and prodromal Parkinson's disease incidence: The HELIAD study.膳食炎症指数评分与前驱帕金森病发病风险:HELIAD 研究。
J Nutr Biochem. 2022 Jul;105:108994. doi: 10.1016/j.jnutbio.2022.108994. Epub 2022 Mar 25.
6
Platelet-to-lymphocyte ratio and neutrophil-tolymphocyte ratio may reflect differences in PD and MSA-P neuroinflammation patterns.血小板与淋巴细胞比值和中性粒细胞与淋巴细胞比值可能反映帕金森病和多系统萎缩帕金森叠加型神经炎症模式的差异。
Neurol Neurochir Pol. 2022;56(2):148-155. doi: 10.5603/PJNNS.a2022.0014. Epub 2022 Feb 4.
7
Dietary Antioxidants and Risk of Parkinson's Disease: A Systematic Review and Dose-Response Meta-analysis of Observational Studies.饮食抗氧化剂与帕金森病风险的关系:观察性研究的系统评价和剂量反应荟萃分析。
Adv Nutr. 2022 Oct 2;13(5):1493-1504. doi: 10.1093/advances/nmac001.
8
Diet Quality and Risk of Parkinson's Disease: The Rotterdam Study.饮食质量与帕金森病风险:鹿特丹研究。
Nutrients. 2021 Nov 7;13(11):3970. doi: 10.3390/nu13113970.
9
Substantively Lowered Levels of Pantothenic Acid (Vitamin B5) in Several Regions of the Human Brain in Parkinson's Disease Dementia.帕金森病痴呆患者大脑多个区域泛酸(维生素B5)水平显著降低。
Metabolites. 2021 Aug 25;11(9):569. doi: 10.3390/metabo11090569.
10
Effect of plasma vitamin C levels on Parkinson's disease and age at onset: a Mendelian randomization study.血浆维生素 C 水平对帕金森病及发病年龄的影响:一项孟德尔随机化研究。
J Transl Med. 2021 May 24;19(1):221. doi: 10.1186/s12967-021-02892-5.