Suppr超能文献

儿童近视的视网膜厚度与黄斑视网膜加脉络膜微循环的相关性。

Correlation in retinal thickness and macular retina plus choroidal microcirculation in pediatric myopia.

机构信息

Aier Eye Hospital of Wuhan University (Wuhan Aier Eye Hospital), Wuhan, Hubei, China.

Enshi Aier Eye Hospital, Enshi, Hubei, China.

出版信息

Medicine (Baltimore). 2024 Jul 26;103(30):e38915. doi: 10.1097/MD.0000000000038915.

Abstract

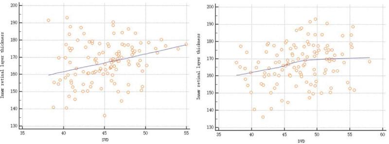
To analyze the relationship in retinal thickness, macula retina and choroidal microcirculation in pediatric patients with myopia. Pediatric patients with high myopia (high myopia group, n = 30, 60 eyes) and pediatric patients with low to moderate myopia (low myopia group, n = 30, 60 eyes) admitted to our hospital from January 2021 to January 2022 were randomly selected as the study subjects. Retinal thickness, the blood density of retina, and the blood density of the choroid were collected in each area of the macula by taking optical coherence tomography (OCT) and OCT angiography (OCTA). Pearson correlation analysis was conducted to compare the results from the 2 groups. Outer retinal thickness showed a weak positive correlation with Superficial vascular complex flow density (SVD) and deep vascular complex flow density (DVD) (P < .05), but no significant correlation with choroidal capillary density (P > .05); inner retinal thickness showed a weak positive correlation with SVD and DVD (P < .05), but no significant correlation with choroidal capillary density (P > .05). In pediatric patients with myopia, there is a positive correlation between the blood flow density of macular retina and retinal thickness, and the retinal thickness will become thinner with increasing myopia.

摘要

分析儿童近视患者视网膜厚度、黄斑视网膜和脉络膜微循环的关系。

选取 2021 年 1 月至 2022 年 1 月我院收治的高度近视患儿(高度近视组,n=30,60 眼)和低度至中度近视患儿(低度近视组,n=30,60 眼)为研究对象。采用光学相干断层扫描(OCT)和 OCT 血管造影(OCTA)采集黄斑各区域视网膜厚度、视网膜血管密度和脉络膜血管密度。比较两组结果并进行 Pearson 相关性分析。

外视网膜厚度与浅层血管复合体血流密度(SVD)和深层血管复合体血流密度(DVD)呈弱正相关(P<.05),与脉络膜毛细血管密度无明显相关性(P>.05);内视网膜厚度与 SVD 和 DVD 呈弱正相关(P<.05),与脉络膜毛细血管密度无明显相关性(P>.05)。

在儿童近视患者中,黄斑视网膜血流密度与视网膜厚度呈正相关,且随着近视程度的增加,视网膜厚度会变薄。

https://cdn.ncbi.nlm.nih.gov/pmc/blobs/fe58/11272281/6d2bbd4de2b3/medi-103-e38915-g001.jpg

文献检索

告别复杂PubMed语法,用中文像聊天一样搜索,搜遍4000万医学文献。AI智能推荐,让科研检索更轻松。

立即免费搜索

文件翻译

保留排版,准确专业,支持PDF/Word/PPT等文件格式,支持 12+语言互译。

免费翻译文档

深度研究

AI帮你快速写综述,25分钟生成高质量综述,智能提取关键信息,辅助科研写作。

立即免费体验