Suppr超能文献

基于儿科结构连接组的图神经网络学习

Graph Neural Network Learning on the Pediatric Structural Connectome.

作者信息

Srinivasan Anand, Raja Rajikha, Glass John O, Hudson Melissa M, Sabin Noah D, Krull Kevin R, Reddick Wilburn E

机构信息

Departments of Radiology, St. Jude Children's Research Hospital, Memphis, TN 38105, USA.

Department of Oncology, St. Jude Children's Research Hospital, Memphis, TN 38105, USA.

出版信息

Tomography. 2025 Jan 29;11(2):14. doi: 10.3390/tomography11020014.

Abstract

PURPOSE

Sex classification is a major benchmark of previous work in learning on the structural connectome, a naturally occurring brain graph that has proven useful for studying cognitive function and impairment. While graph neural networks (GNNs), specifically graph convolutional networks (GCNs), have gained popularity lately for their effectiveness in learning on graph data, achieving strong performance in adult sex classification tasks, their application to pediatric populations remains unexplored. We seek to characterize the capacity for GNN models to learn connectomic patterns on pediatric data through an exploration of training techniques and architectural design choices.

METHODS

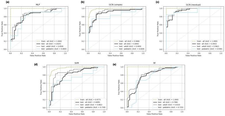
Two datasets comprising an adult BRIGHT dataset (N = 147 Hodgkin's lymphoma survivors and N = 162 age similar controls) and a pediatric Human Connectome Project in Development (HCP-D) dataset (N = 135 healthy subjects) were utilized. Two GNN models (GCN simple and GCN residual), a deep neural network (multi-layer perceptron), and two standard machine learning models (random forest and support vector machine) were trained. Architecture exploration experiments were conducted to evaluate the impact of network depth, pooling techniques, and skip connections on the ability of GNN models to capture connectomic patterns. Models were assessed across a range of metrics including accuracy, AUC score, and adversarial robustness.

RESULTS

GNNs outperformed other models across both populations. Notably, adult GNN models achieved 85.1% accuracy in sex classification on unseen adult participants, consistent with prior studies. The extension of the adult models to the pediatric dataset and training on the smaller pediatric dataset were sub-optimal in their performance. Using adult data to augment pediatric models, the best GNN achieved comparable accuracy across unseen pediatric (83.0%) and adult (81.3%) participants. Adversarial sensitivity experiments showed that the simple GCN remained the most robust to perturbations, followed by the multi-layer perceptron and the residual GCN.

CONCLUSIONS

These findings underscore the potential of GNNs in advancing our understanding of sex-specific neurological development and disorders and highlight the importance of data augmentation in overcoming challenges associated with small pediatric datasets. Further, they highlight relevant tradeoffs in the design landscape of connectomic GNNs. For example, while the simpler GNN model tested exhibits marginally worse accuracy and AUC scores in comparison to the more complex residual GNN, it demonstrates a higher degree of adversarial robustness.

摘要

目的

性别分类是以往基于结构连接组学进行学习的研究中的一个主要基准,结构连接组是一种自然存在的脑图谱,已被证明对研究认知功能和损伤很有用。虽然图神经网络(GNN),特别是图卷积网络(GCN),最近因其在图数据学习中的有效性而受到欢迎,并在成人性别分类任务中取得了优异的性能,但其在儿科人群中的应用仍未得到探索。我们试图通过探索训练技术和架构设计选择,来刻画GNN模型在儿科数据上学习连接组模式的能力。

方法

使用了两个数据集,一个是成人BRIGHT数据集(N = 147名霍奇金淋巴瘤幸存者和N = 162名年龄相仿的对照),另一个是儿科人类连接组发育项目(HCP-D)数据集(N = 135名健康受试者)。训练了两个GNN模型(简单GCN和残差GCN)、一个深度神经网络(多层感知器)以及两个标准机器学习模型(随机森林和支持向量机)。进行了架构探索实验,以评估网络深度、池化技术和跳跃连接对GNN模型捕捉连接组模式能力的影响。通过一系列指标对模型进行评估,包括准确率、AUC分数和对抗鲁棒性。

结果

GNN在两个人群中均优于其他模型。值得注意的是,成人GNN模型在对未见过的成年参与者进行性别分类时达到了85.1%的准确率,与先前的研究一致。将成人模型扩展到儿科数据集并在较小的儿科数据集上进行训练,其性能并不理想。使用成人数据增强儿科模型,最佳GNN在未见过的儿科(83.0%)和成人(81.3%)参与者中取得了相当的准确率。对抗敏感性实验表明,简单GCN对扰动的鲁棒性最强,其次是多层感知器和残差GCN。

结论

这些发现强调了GNN在推进我们对性别特异性神经发育和疾病的理解方面的潜力,并突出了数据增强在克服与小儿数据集较小相关的挑战方面的重要性。此外,它们还突出了连接组学GNN设计领域中的相关权衡。例如,虽然与更复杂的残差GNN相比,所测试的更简单的GNN模型在准确率和AUC分数上略差,但它表现出更高程度的对抗鲁棒性。

https://cdn.ncbi.nlm.nih.gov/pmc/blobs/28cf/11861995/125dc8eadbb3/tomography-11-00014-g001.jpg

文献检索

告别复杂PubMed语法,用中文像聊天一样搜索,搜遍4000万医学文献。AI智能推荐,让科研检索更轻松。

立即免费搜索

文件翻译

保留排版,准确专业,支持PDF/Word/PPT等文件格式,支持 12+语言互译。

免费翻译文档

深度研究

AI帮你快速写综述,25分钟生成高质量综述,智能提取关键信息,辅助科研写作。

立即免费体验