• 文献检索
  • 文档翻译
  • 深度研究
  • 学术资讯
  • Suppr Zotero 插件Zotero 插件
  • 邀请有礼
  • 套餐&价格
  • 历史记录
应用&插件
Suppr Zotero 插件Zotero 插件浏览器插件Mac 客户端Windows 客户端微信小程序
定价
高级版会员购买积分包购买API积分包
服务
文献检索文档翻译深度研究API 文档MCP 服务
关于我们
关于 Suppr公司介绍联系我们用户协议隐私条款
关注我们

Suppr 超能文献

核心技术专利:CN118964589B侵权必究
粤ICP备2023148730 号-1Suppr @ 2026

文献检索

告别复杂PubMed语法,用中文像聊天一样搜索,搜遍4000万医学文献。AI智能推荐,让科研检索更轻松。

立即免费搜索

文件翻译

保留排版,准确专业,支持PDF/Word/PPT等文件格式,支持 12+语言互译。

免费翻译文档

深度研究

AI帮你快速写综述,25分钟生成高质量综述,智能提取关键信息,辅助科研写作。

立即免费体验

地下铁路系统环境中粗颗粒物和细颗粒物的化学特征:细胞毒性作用和氧化应激——一项初步研究。

Chemical characterisation of the coarse and fine particulate matter in the environment of an underground railway system: cytotoxic effects and oxidative stress-a preliminary study.

作者信息

Spagnolo Anna Maria, Ottria Gianluca, Perdelli Fernanda, Cristina Maria Luisa

机构信息

Department of Health Sciences, University of Genoa, Italy Via Pastore, 1-16132 Genoa, Italy.

出版信息

Int J Environ Res Public Health. 2015 Apr 13;12(4):4031-46. doi: 10.3390/ijerph120404031.

DOI:10.3390/ijerph120404031
PMID:25872016
原文链接:https://pmc.ncbi.nlm.nih.gov/articles/PMC4410231/
Abstract

BACKGROUND

Exposure to the particulate matter produced in underground railway systems is arousing increasing scientific interest because of its health effects. The aim of our study was to evaluate the airborne concentrations of PM10 and three sub-fractions of PM2.5 in an underground railway system environment in proximity to platforms and in underground commercial areas within the system, and to compare these with the outdoor airborne concentrations. We also evaluated the metal components, the cytotoxic properties of the various fractions of particulate matter (PM) and their capacity to induce oxidative stress.

METHOD

We collected the coarse fraction (5-10 µm) and the fine fractions (1-2.5 µm; 0.5-1 µm; 0.25-0.5 µm). Chemical characterisation was determined by means of spectrometry. Cytotoxicity and oxidative stress were evaluated by 3-(4,5-dimethylthiazol-2-yl)-2,5-diphenyltetrazolium bromide (MTT) assay and Reactive Oxygen Species (ROS) assessment.

RESULTS

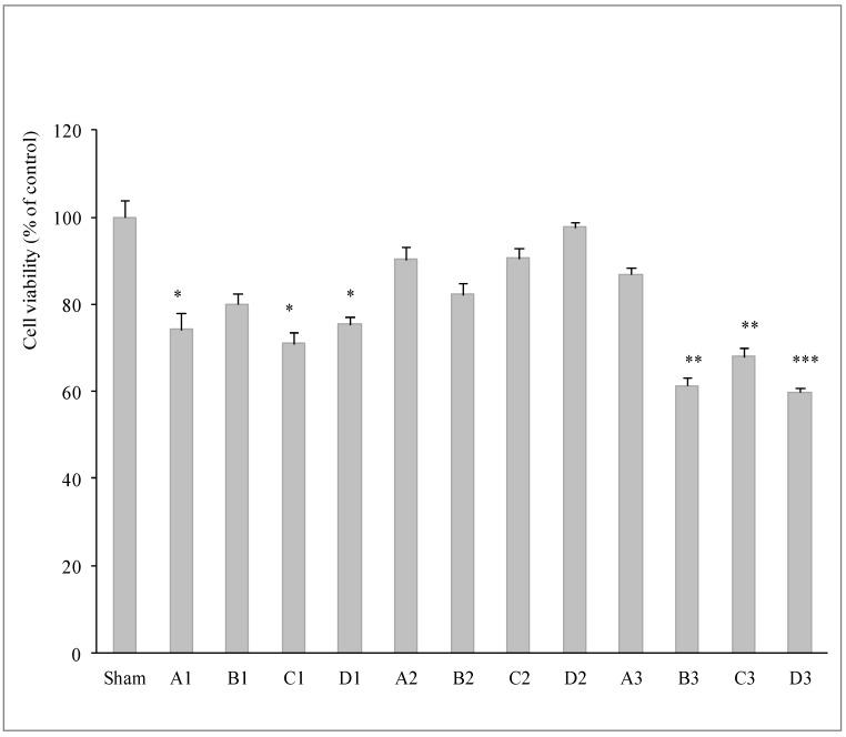
The concentrations of both PM10 and PM2.5 proved to be similar at the three sampling sites. Iron and other transition metals displayed a greater concentration at the subway platform than at the other two sites. The 2.5-10 µm and 1-2.5 µm fractions of PM from all three sampling sites determined a greater increase in ROS; the intensity of oxidative stress progressively declined as particle diameter diminished. Moreover, ROS concentrations were correlated with the concentrations of some transition metals, namely Mn, Cr, Ti, Fe, Cu, Zn, Ni and Mo. All particulate matter fractions displayed lower or similar ROS values between platform level and the outdoor air.

CONCLUSIONS

The present study revealed that the underground railway environment at platform level, although containing higher concentrations of some particularly reactive metallic species, did not display higher cytotoxicity and oxidative stress levels than the outdoor air.

摘要

背景

由于地铁系统产生的颗粒物对健康有影响,其暴露问题引起了越来越多的科学关注。我们研究的目的是评估地铁系统内靠近站台处和地下商业区环境中PM10以及PM2.5三个亚组分的空气浓度,并将其与室外空气浓度进行比较。我们还评估了金属成分、颗粒物(PM)各组分的细胞毒性特性及其诱导氧化应激的能力。

方法

我们收集了粗颗粒组分(5 - 10微米)和细颗粒组分(1 - 2.5微米;0.5 - 1微米;0.25 - 0.5微米)。通过光谱法进行化学表征。通过3 -(4,5 - 二甲基噻唑 - 2 - 基)- 2,5 - 二苯基四氮唑溴盐(MTT)法和活性氧(ROS)评估来评价细胞毒性和氧化应激。

结果

在三个采样点,PM10和PM2.5的浓度均相似。地铁站台处铁和其他过渡金属的浓度高于其他两个采样点。来自所有三个采样点的2.5 - 10微米和1 - 2.5微米的PM组分导致ROS的增加幅度更大;随着粒径减小,氧化应激强度逐渐降低。此外,ROS浓度与一些过渡金属的浓度相关,即锰、铬、钛、铁、铜、锌、镍和钼。站台层和室外空气中所有颗粒物组分的ROS值较低或相似。

结论

本研究表明,站台层的地铁环境虽然含有较高浓度的一些特别具有反应性的金属物种,但与室外空气相比,并未表现出更高的细胞毒性和氧化应激水平。

https://cdn.ncbi.nlm.nih.gov/pmc/blobs/3249/4410231/f6159a3064c7/ijerph-12-04031-g003.jpg
https://cdn.ncbi.nlm.nih.gov/pmc/blobs/3249/4410231/3ee9ae4335f2/ijerph-12-04031-g001.jpg
https://cdn.ncbi.nlm.nih.gov/pmc/blobs/3249/4410231/b6a7296bb020/ijerph-12-04031-g002.jpg
https://cdn.ncbi.nlm.nih.gov/pmc/blobs/3249/4410231/f6159a3064c7/ijerph-12-04031-g003.jpg
https://cdn.ncbi.nlm.nih.gov/pmc/blobs/3249/4410231/3ee9ae4335f2/ijerph-12-04031-g001.jpg
https://cdn.ncbi.nlm.nih.gov/pmc/blobs/3249/4410231/b6a7296bb020/ijerph-12-04031-g002.jpg
https://cdn.ncbi.nlm.nih.gov/pmc/blobs/3249/4410231/f6159a3064c7/ijerph-12-04031-g003.jpg

相似文献

1
Chemical characterisation of the coarse and fine particulate matter in the environment of an underground railway system: cytotoxic effects and oxidative stress-a preliminary study.地下铁路系统环境中粗颗粒物和细颗粒物的化学特征:细胞毒性作用和氧化应激——一项初步研究。
Int J Environ Res Public Health. 2015 Apr 13;12(4):4031-46. doi: 10.3390/ijerph120404031.
2
Health effects of particulate matter air pollution in underground railway systems - a critical review of the evidence.地下铁路系统中颗粒物空气污染的健康影响——对证据的批判性回顾。
Part Fibre Toxicol. 2019 Mar 6;16(1):12. doi: 10.1186/s12989-019-0296-2.
3
Physicochemical characterization of airborne particulate matter at a mainline underground railway station.大气颗粒物在主干地下铁路车站的物理化学特性。
Environ Sci Technol. 2013 Apr 16;47(8):3614-22. doi: 10.1021/es304481m. Epub 2013 Apr 2.
4
The London low emission zone baseline study.伦敦低排放区基线研究。
Res Rep Health Eff Inst. 2011 Nov(163):3-79.
5
Factors controlling air quality in different European subway systems.控制不同欧洲地铁系统空气质量的因素。
Environ Res. 2016 Apr;146:35-46. doi: 10.1016/j.envres.2015.12.007. Epub 2015 Dec 22.
6
Concentration and characterization of airborne particles in Tehran's subway system.空气中颗粒物在德黑兰地铁系统中的浓度和特征。
Environ Sci Pollut Res Int. 2014 Jun;21(12):7319-28. doi: 10.1007/s11356-014-2659-4. Epub 2014 Feb 27.
7
A review of traditional and advanced technologies for the removal of particulate matter in subway systems.地铁系统中颗粒物去除的传统技术和先进技术综述。
Indoor Air. 2019 Mar;29(2):177-191. doi: 10.1111/ina.12532. Epub 2019 Jan 18.
8
Chemical composition of submicron and fine particulate matter collected in Krakow, Poland. Consequences for the APARIC project.在波兰克拉科夫收集的亚微米和细颗粒物的化学成分。对APARIC项目的影响。
Chemosphere. 2017 Nov;187:430-439. doi: 10.1016/j.chemosphere.2017.08.090. Epub 2017 Aug 30.
9
ROS-generating/ARE-activating capacity of metals in roadway particulate matter deposited in urban environment.城市环境中沉积的道路颗粒物中金属的活性氧生成/抗氧化反应元件激活能力。
Environ Res. 2016 Apr;146:252-62. doi: 10.1016/j.envres.2016.01.009. Epub 2016 Jan 15.
10
The influence of air cleaners on indoor particulate matter components and oxidative potential in residential households in Beijing.空气净化器对北京住宅室内颗粒物成分和氧化势的影响。
Sci Total Environ. 2018 Jun 1;626:507-518. doi: 10.1016/j.scitotenv.2018.01.024. Epub 2018 Feb 19.

引用本文的文献

1
Preventive Effects of Vanillic Acid Against Lung Inflammation and Oxidative Stress Induced by Dust Particles in Wistar Rats.香草酸对Wistar大鼠粉尘颗粒诱导的肺部炎症和氧化应激的预防作用
J Cell Mol Med. 2025 Apr;29(8):e70573. doi: 10.1111/jcmm.70573.
2
Metal and oxidative potential exposure through particle inhalation and oxidative stress biomarkers: a 2-week pilot prospective study among Parisian subway workers.金属和氧化应激生物标志物的吸入性颗粒暴露与潜在暴露:巴黎地铁工人为期 2 周的前瞻性初步研究。
Int Arch Occup Environ Health. 2024 May;97(4):387-400. doi: 10.1007/s00420-024-02054-2. Epub 2024 Mar 20.
3
Toxicological and Mutagenic Effects of Particulate Matter from Domestic Activities.

本文引用的文献

1
The combined effects of physicochemical properties of size-fractionated ambient particulate matter on toxicity in human A549 lung epithelial cells.大气颗粒物粒径分级后的物理化学性质对人A549肺上皮细胞毒性的联合作用。
Toxicol Rep. 2014 May 16;1:145-156. doi: 10.1016/j.toxrep.2014.05.002. eCollection 2014.
2
Chemical characterization of outdoor and subway fine (PM(2.5-1.0)) and coarse (PM(10-2.5)) particulate matter in Seoul (Korea) by computer-controlled scanning electron microscopy (CCSEM).采用计算机控制扫描电子显微镜(CCSEM)对韩国首尔室外及地铁细颗粒物(PM(2.5 - 1.0))和粗颗粒物(PM(10 - 2.5))进行化学表征。
Int J Environ Res Public Health. 2015 Feb 13;12(2):2090-104. doi: 10.3390/ijerph120202090.
3
家庭活动产生的颗粒物的毒理学和致突变效应。
Toxics. 2023 Jun 3;11(6):505. doi: 10.3390/toxics11060505.
4
Heavy metal analysis in of indoor and outdoor dust extracts and cytotoxicity evaluation and inflammation factors on lung, gastric and skin cell lines.室内和室外灰尘提取物中的重金属分析以及对肺、胃和皮肤细胞系的细胞毒性评估和炎症因子研究
Heliyon. 2022 Dec 19;8(12):e12414. doi: 10.1016/j.heliyon.2022.e12414. eCollection 2022 Dec.
5
Cytotoxicity of Particulate Matter PM Samples from Ouagadougou, Burkina Faso.来自布基纳法索瓦加杜古的颗粒物PM样本的细胞毒性
J Toxicol. 2022 Oct 21;2022:1786810. doi: 10.1155/2022/1786810. eCollection 2022.
6
Influence of fine particulate matter and its pure particulate fractions on pulmonary immune cells and cytokines in mice.细颗粒物及其纯颗粒组分对小鼠肺免疫细胞和细胞因子的影响。
Exp Ther Med. 2021 Jun;21(6):662. doi: 10.3892/etm.2021.10094. Epub 2021 Apr 21.
7
Oxidative Stress From Exposure to the Underground Space Environment.暴露于地下空间环境中的氧化应激。
Front Public Health. 2020 Oct 21;8:579634. doi: 10.3389/fpubh.2020.579634. eCollection 2020.
8
Environmental and Health Effects of Ventilation in Subway Stations: A Literature Review.地铁站通风的环境与健康影响:文献综述。
Int J Environ Res Public Health. 2020 Feb 8;17(3):1084. doi: 10.3390/ijerph17031084.
9
Evaluating deciduous tree leaves as biomonitors for ambient particulate matter pollution in Pittsburgh, PA, USA.评估落叶树叶片作为美国宾夕法尼亚州匹兹堡大气颗粒物污染的生物监测器。
Environ Monit Assess. 2019 Nov 1;191(12):711. doi: 10.1007/s10661-019-7857-6.
10
Health effects of particulate matter air pollution in underground railway systems - a critical review of the evidence.地下铁路系统中颗粒物空气污染的健康影响——对证据的批判性回顾。
Part Fibre Toxicol. 2019 Mar 6;16(1):12. doi: 10.1186/s12989-019-0296-2.
Long-term exposure to air pollution and cardiovascular mortality: an analysis of 22 European cohorts.
长期暴露于空气污染与心血管疾病死亡率:对22个欧洲队列的分析
Epidemiology. 2014 May;25(3):368-78. doi: 10.1097/EDE.0000000000000076.
4
Toxicological and epidemiological studies of cardiovascular effects of ambient air fine particulate matter (PM2.5) and its chemical components: coherence and public health implications.环境空气中细颗粒物(PM2.5)及其化学成分对心血管影响的毒理学和流行病学研究:一致性及对公共卫生的影响
Crit Rev Toxicol. 2014 Apr;44(4):299-347. doi: 10.3109/10408444.2013.861796. Epub 2014 Feb 4.
5
Cytotoxic response in human lung epithelial cells and ion characteristics of urban-air particles from Torino, a northern Italian city.人肺上皮细胞的细胞毒性反应和来自意大利北部城市都灵的城市空气颗粒物的离子特性。
Environ Sci Pollut Res Int. 2014 Apr;21(8):5554-64. doi: 10.1007/s11356-013-2468-1. Epub 2014 Jan 10.
6
Cell cycle alterations induced by urban PM2.5 in bronchial epithelial cells: characterization of the process and possible mechanisms involved.城市 PM2.5 诱导支气管上皮细胞细胞周期改变:过程特征及可能涉及的机制。
Part Fibre Toxicol. 2013 Dec 19;10:63. doi: 10.1186/1743-8977-10-63.
7
The role of iron and reactive oxygen species in cell death.铁和活性氧在细胞死亡中的作用。
Nat Chem Biol. 2014 Jan;10(1):9-17. doi: 10.1038/nchembio.1416.
8
Air pollution and mortality in Europe.欧洲的空气污染与死亡率
Lancet. 2014 Mar 1;383(9919):758-60. doi: 10.1016/S0140-6736(13)62570-2. Epub 2013 Dec 9.
9
Oxidative potential of particulate matter collected at sites with different source characteristics.收集于具有不同来源特征的采样点的颗粒物的氧化能力。
Sci Total Environ. 2014 Feb 15;472:572-81. doi: 10.1016/j.scitotenv.2013.11.099. Epub 2013 Dec 6.
10
A study on characteristics of atmospheric heavy metals in subway station.地铁站大气重金属特征研究。
Toxicol Res. 2010 Jun;26(2):157-62. doi: 10.5487/TR.2010.26.2.157.