Suppr超能文献

杏鲍菇SI-04酸性及酶解胞外多糖的降血脂和保肝活性

Antihyperlipidaemic and hepatoprotective activities of acidic and enzymatic hydrolysis exopolysaccharides from Pleurotus eryngii SI-04.

作者信息

Zhang Chen, Li Juan, Wang Jing, Song Xingling, Zhang Jianjun, Wu Shang, Hu Chunlong, Gong Zhiyuan, Jia Le

机构信息

Institute of Agricultural Resources and Environment, Shandong Academy of Agricultural Science, Key Laboratory of Wastes Matrix Utilization, Ministry of Agriculture, Jinan, 250100, China.

College of Life Science, Shandong Agricultural University, Taian, 271018, China.

出版信息

BMC Complement Altern Med. 2017 Aug 14;17(1):403. doi: 10.1186/s12906-017-1892-z.

Abstract

BACKGROUND

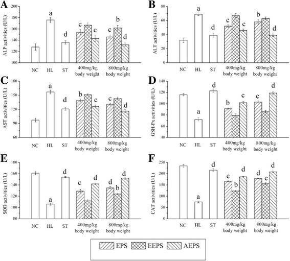
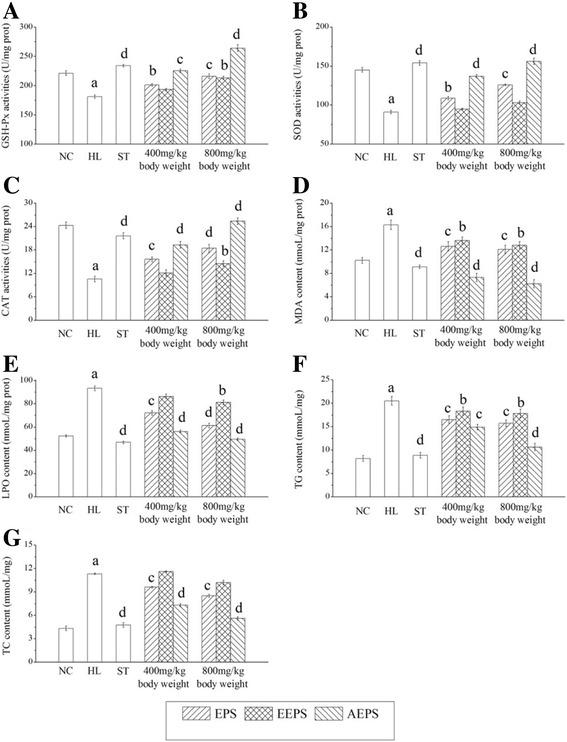
Hyperlipidaemia is the major risk factor contributing to the development and progression of atherosclerosis, fatty liver and cerebrovascular disease. Pleurotus eryngii (P. eryngii) is rich in biologically active components, especially polysaccharides that exhibit various biological activities, including reducing blood lipids. In the present study, three novel polysaccharide types, including exopolysaccharides (EPS), enzymatic EPS (EEPS) and acidic EPS (AEPS) were isolated, and the hypolipidaemic and hepatoprotective effects were investigated to better understand possible hypolipidaemic mechanisms and their hepatoprotective effects.

METHODS

The EPS was hydrolysed by snailase (dissolved in 1% acetic acid, pH = 6) and HSO (1 M) to obtain EEPS and AEPS, respectively. The in vitro antioxidant activities were measured by investigating the reducing power and the scavenging effects on radicals of hydroxyl, 1,1-diphenyl-2-picrylhydrazyl (DPPH) and superoxide anion. The hyperlipidaemic mice were induced by perfusing a high-fat emulsion. In addition to the hepatic histopathology, the following biochemical analyses were performed to investigate the antioxidative effects, including the activities of alkaline phosphatase (ALP), alanine aminotransferase (ALT), aspartate aminotransferase (AST), glutathione peroxidase (GSH-Px), superoxide dismutase (SOD) and catalase (CAT). Triacylglycerol (TG), total cholesterol (TC), high-density lipoprotein cholesterol (HDL-C), low-density lipoprotein cholesterol (LDL-C), malondialdehyde (MDA) and lipid peroxidation (LPO) levels were also measured in serum and liver homogenate.

RESULTS

Supplementation of EPS, EEPS and AEPS could significantly improve blood lipid levels (TC, TG, HDL-C, and LDL-C), hepatic lipid levels (TC and TG), hepatic enzyme activities (ALP, ALT, and AST) and antioxidant status (GSH-Px, SOD, T-AOC, MDA, and LPO). In addition, histopathological observations indicated that these polysaccharides had potential effects in attenuating hepatocyte damage.

CONCLUSION

These results demonstrated that both EPS and its hydrolysates EEPS and AEPS might effectively reduce serum lipid levels and protect against high-fat diet-induced hyperlipidaemia, indicating that they could be used as functional foods and natural hepatoprotectants.

摘要

背景

高脂血症是动脉粥样硬化、脂肪肝和脑血管疾病发生发展的主要危险因素。杏鲍菇富含生物活性成分,尤其是具有多种生物活性(包括降血脂)的多糖。在本研究中,分离出三种新型多糖,即胞外多糖(EPS)、酶解EPS(EEPS)和酸性EPS(AEPS),并研究了它们的降血脂和保肝作用,以更好地了解可能的降血脂机制及其保肝作用。

方法

分别用蜗牛酶(溶于1%乙酸,pH = 6)和硫酸(1 M)水解EPS,得到EEPS和AEPS。通过研究还原能力以及对羟基自由基、1,1-二苯基-2-苦基肼(DPPH)和超氧阴离子自由基的清除作用来测定体外抗氧化活性。通过灌注高脂乳剂诱导高脂血症小鼠。除了肝脏组织病理学检查外,还进行了以下生化分析以研究抗氧化作用,包括碱性磷酸酶(ALP)、丙氨酸氨基转移酶(ALT)、天冬氨酸氨基转移酶(AST)、谷胱甘肽过氧化物酶(GSH-Px)、超氧化物歧化酶(SOD)和过氧化氢酶(CAT)的活性。还测定了血清和肝脏匀浆中的三酰甘油(TG)、总胆固醇(TC)、高密度脂蛋白胆固醇(HDL-C)、低密度脂蛋白胆固醇(LDL-C)、丙二醛(MDA)和脂质过氧化(LPO)水平。

结果

补充EPS、EEPS和AEPS可显著改善血脂水平(TC、TG、HDL-C和LDL-C)、肝脏脂质水平(TC和TG)、肝酶活性(ALP、ALT和AST)以及抗氧化状态(GSH-Px、SOD、总抗氧化能力、MDA和LPO)。此外,组织病理学观察表明,这些多糖在减轻肝细胞损伤方面具有潜在作用。

结论

这些结果表明,EPS及其水解产物EEPS和AEPS均可有效降低血脂水平,预防高脂饮食诱导的高脂血症,表明它们可作为功能性食品和天然保肝剂。

https://cdn.ncbi.nlm.nih.gov/pmc/blobs/ffb3/5557422/03c3867abdb2/12906_2017_1892_Fig1_HTML.jpg

文献检索

告别复杂PubMed语法,用中文像聊天一样搜索,搜遍4000万医学文献。AI智能推荐,让科研检索更轻松。

立即免费搜索

文件翻译

保留排版,准确专业,支持PDF/Word/PPT等文件格式,支持 12+语言互译。

免费翻译文档

深度研究

AI帮你快速写综述,25分钟生成高质量综述,智能提取关键信息,辅助科研写作。

立即免费体验