Choudhary Alka, Naughton Lynn M, Montánchez Itxaso, Dobson Alan D W, Rai Dilip K
Department of Food Biosciences, Teagasc Food Research Centre Ashtown, Dublin D15 KN3K, Ireland.
School of Microbiology, University College Cork, Western Road, Cork City T12 YN60, Ireland.
Mar Drugs. 2017 Aug 28;15(9):272. doi: 10.3390/md15090272.
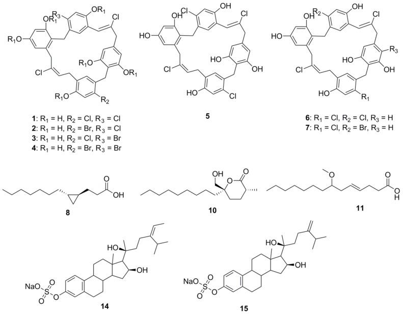
The marine environment is a rich source of chemically diverse, biologically active natural products, and serves as an invaluable resource in the ongoing search for novel antimicrobial compounds. Recent advances in extraction and isolation techniques, and in state-of-the-art technologies involved in organic synthesis and chemical structure elucidation, have accelerated the numbers of antimicrobial molecules originating from the ocean moving into clinical trials. The chemical diversity associated with these marine-derived molecules is immense, varying from simple linear peptides and fatty acids to complex alkaloids, terpenes and polyketides, etc. Such an array of structurally distinct molecules performs functionally diverse biological activities against many pathogenic bacteria and fungi, making marine-derived natural products valuable commodities, particularly in the current age of antimicrobial resistance. In this review, we have highlighted several marine-derived natural products (and their synthetic derivatives), which have gained recognition as effective antimicrobial agents over the past five years (2012-2017). These natural products have been categorized based on their chemical structures and the structure-activity mediated relationships of some of these bioactive molecules have been discussed. Finally, we have provided an insight into how genome mining efforts are likely to expedite the discovery of novel antimicrobial compounds.
海洋环境是化学性质多样、具有生物活性的天然产物的丰富来源,并且在持续不断地寻找新型抗菌化合物的过程中是一种宝贵的资源。提取和分离技术以及有机合成与化学结构解析方面的先进技术的最新进展,加快了源自海洋的抗菌分子进入临床试验的数量。与这些海洋来源分子相关的化学多样性是巨大的,从简单的线性肽和脂肪酸到复杂的生物碱、萜类化合物和聚酮化合物等各不相同。如此一系列结构各异的分子对许多致病细菌和真菌具有功能多样的生物活性,使得海洋来源的天然产物成为有价值的商品,尤其是在当前这个抗菌药物耐药性的时代。在这篇综述中,我们重点介绍了几种在过去五年(2012 - 2017年)中已被认可为有效抗菌剂的海洋来源天然产物(及其合成衍生物)。这些天然产物已根据其化学结构进行了分类,并讨论了其中一些生物活性分子的结构 - 活性介导关系。最后,我们深入探讨了基因组挖掘工作如何可能加速新型抗菌化合物的发现。