• 文献检索
  • 文档翻译
  • 深度研究
  • 学术资讯
  • Suppr Zotero 插件Zotero 插件
  • 邀请有礼
  • 套餐&价格
  • 历史记录
应用&插件
Suppr Zotero 插件Zotero 插件浏览器插件Mac 客户端Windows 客户端微信小程序
定价
高级版会员购买积分包购买API积分包
服务
文献检索文档翻译深度研究API 文档MCP 服务
关于我们
关于 Suppr公司介绍联系我们用户协议隐私条款
关注我们

Suppr 超能文献

核心技术专利:CN118964589B侵权必究
粤ICP备2023148730 号-1Suppr @ 2026

文献检索

告别复杂PubMed语法,用中文像聊天一样搜索,搜遍4000万医学文献。AI智能推荐,让科研检索更轻松。

立即免费搜索

文件翻译

保留排版,准确专业,支持PDF/Word/PPT等文件格式,支持 12+语言互译。

免费翻译文档

深度研究

AI帮你快速写综述,25分钟生成高质量综述,智能提取关键信息,辅助科研写作。

立即免费体验

超声辅助提取响应面法优化槐米中六种黄酮类化合物的同时定量分析及其抗氧化活性。

Optimization of Ultrasound-Assisted Extraction Using Response Surface Methodology for Simultaneous Quantitation of Six Flavonoids in Flos Sophorae Immaturus and Antioxidant Activity.

机构信息

College of Life Science, Shanxi University, Taiyuan 030000, China.

Shanxi Key Laboratory for Research and Development of Regional Plants, Taiyuan 030000, China.

出版信息

Molecules. 2020 Apr 12;25(8):1767. doi: 10.3390/molecules25081767.

DOI:10.3390/molecules25081767
PMID:32290627
原文链接:https://pmc.ncbi.nlm.nih.gov/articles/PMC7221660/
Abstract

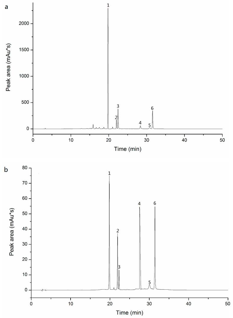
Ultrasound-assisted extraction (UAE) was applied to extract rutin (RU), nicotiflorin (NI), narcissoside (NA), kaempferol (KA), isorhamnetin (IS), quercetin (QU), and total flavonoids of Flos Sophorae Immaturus (TFFSI) from Flos Sophorae Immaturus (FSI). Through single factor test and response surface methodology (RSM), the optimal extraction conditions were concluded as follows: ethanol concentration 70%, time 30 min, temperature 61 °C, and liquid/solid ratio 15.30 mL/g, respectively. The actual extraction rates of RU, NI, NA, KA, IS, QU, and TFFSI were 14.6101%, 2.9310%, 7.1987%, 0.1041%, 0.4920%, 2.7998%, and 26.4260%, respectively. The experimental results demonstrated that the extraction method with accuracy and efficiency could be used for the comprehensive evaluation quality control of extracts from FSI. The antioxidant activities of hydroalcoholic extraction from FSI on 1,1-diphenyl-2-picrylhydrazyl (DPPH), 2,2'-azino-bis (3-ethylbenzothiazoline-6-sulfonic acid) (ABTS•), superoxide anion (•O) free radicals, and ferric reducing/antioxidant power (FRAP) were assessed. The results showed that the antioxidation activities of extracts on DPPH, ABTS•, and •O free radicals were reached 89.29%, 97.86%, and 56.61%, and 81.4% in FRAP at 1.0 mg/mL, respectively. The antioxidant capacity of FSI extract was positively correlated with the amount of total flavonoids.

摘要

超声辅助提取(UAE)被应用于从槐米中提取芦丁(RU)、槲皮苷(NI)、水仙苷(NA)、山奈酚(KA)、异鼠李素(IS)、槲皮素(QU)和槐米总黄酮(TFFSI)。通过单因素试验和响应面法(RSM),得出了最佳提取条件如下:乙醇浓度 70%,时间 30 分钟,温度 61°C,液固比 15.30 mL/g。RU、NI、NA、KA、IS、QU 和 TFFSI 的实际提取率分别为 14.6101%、2.9310%、7.1987%、0.1041%、0.4920%、2.7998%和 26.4260%。实验结果表明,该提取方法准确、高效,可用于槐米提取物的综合评价和质量控制。槐米水醇提取物对 1,1-二苯基-2-苦基肼基(DPPH)、2,2'-联氮-双-(3-乙基苯并噻唑啉-6-磺酸)(ABTS•)、超氧阴离子(•O)自由基和铁还原/抗氧化能力(FRAP)的抗氧化活性进行了评估。结果表明,提取物对 DPPH、ABTS•和•O 自由基的抗氧化活性分别达到 89.29%、97.86%和 56.61%,在 1.0mg/mL 时 FRAP 达到 81.4%。槐米提取物的抗氧化能力与总黄酮含量呈正相关。

https://cdn.ncbi.nlm.nih.gov/pmc/blobs/4cef/7221660/60bd272ac69f/molecules-25-01767-g009.jpg
https://cdn.ncbi.nlm.nih.gov/pmc/blobs/4cef/7221660/0a266a2d5881/molecules-25-01767-g001.jpg
https://cdn.ncbi.nlm.nih.gov/pmc/blobs/4cef/7221660/c998d61b66bb/molecules-25-01767-g002.jpg
https://cdn.ncbi.nlm.nih.gov/pmc/blobs/4cef/7221660/ac87350be597/molecules-25-01767-g003.jpg
https://cdn.ncbi.nlm.nih.gov/pmc/blobs/4cef/7221660/f599fb7ce485/molecules-25-01767-g004.jpg
https://cdn.ncbi.nlm.nih.gov/pmc/blobs/4cef/7221660/27ba23afa645/molecules-25-01767-g005.jpg
https://cdn.ncbi.nlm.nih.gov/pmc/blobs/4cef/7221660/c56cfee3011a/molecules-25-01767-g006.jpg
https://cdn.ncbi.nlm.nih.gov/pmc/blobs/4cef/7221660/a2d70bae40ad/molecules-25-01767-g007.jpg
https://cdn.ncbi.nlm.nih.gov/pmc/blobs/4cef/7221660/0a97eb9ff008/molecules-25-01767-g008.jpg
https://cdn.ncbi.nlm.nih.gov/pmc/blobs/4cef/7221660/60bd272ac69f/molecules-25-01767-g009.jpg
https://cdn.ncbi.nlm.nih.gov/pmc/blobs/4cef/7221660/0a266a2d5881/molecules-25-01767-g001.jpg
https://cdn.ncbi.nlm.nih.gov/pmc/blobs/4cef/7221660/c998d61b66bb/molecules-25-01767-g002.jpg
https://cdn.ncbi.nlm.nih.gov/pmc/blobs/4cef/7221660/ac87350be597/molecules-25-01767-g003.jpg
https://cdn.ncbi.nlm.nih.gov/pmc/blobs/4cef/7221660/f599fb7ce485/molecules-25-01767-g004.jpg
https://cdn.ncbi.nlm.nih.gov/pmc/blobs/4cef/7221660/27ba23afa645/molecules-25-01767-g005.jpg
https://cdn.ncbi.nlm.nih.gov/pmc/blobs/4cef/7221660/c56cfee3011a/molecules-25-01767-g006.jpg
https://cdn.ncbi.nlm.nih.gov/pmc/blobs/4cef/7221660/a2d70bae40ad/molecules-25-01767-g007.jpg
https://cdn.ncbi.nlm.nih.gov/pmc/blobs/4cef/7221660/0a97eb9ff008/molecules-25-01767-g008.jpg
https://cdn.ncbi.nlm.nih.gov/pmc/blobs/4cef/7221660/60bd272ac69f/molecules-25-01767-g009.jpg

相似文献

1
Optimization of Ultrasound-Assisted Extraction Using Response Surface Methodology for Simultaneous Quantitation of Six Flavonoids in Flos Sophorae Immaturus and Antioxidant Activity.超声辅助提取响应面法优化槐米中六种黄酮类化合物的同时定量分析及其抗氧化活性。
Molecules. 2020 Apr 12;25(8):1767. doi: 10.3390/molecules25081767.
2
Optimization of Microwave-Assisted Extraction Conditions for Five Major Bioactive Compounds from Flos Sophorae Immaturus (Cultivars of Sophora japonica L.) Using Response Surface Methodology.采用响应面法优化从槐米(国槐品种)中提取五种主要生物活性化合物的微波辅助提取条件
Molecules. 2016 Mar 2;21(3):296. doi: 10.3390/molecules21030296.
3
Extraction and isolation of flavonoid glycosides from Flos Sophorae Immaturus using ultrasonic-assisted extraction followed by high-speed countercurrent chromatography.采用超声辅助提取法结合高速逆流色谱法从槐米中提取并分离黄酮苷。
J Sep Sci. 2014 Apr;37(8):957-65. doi: 10.1002/jssc.201301340. Epub 2014 Mar 10.
4
Efficient extraction of flavonoids from Flos Sophorae Immaturus by tailored and sustainable deep eutectic solvent as green extraction media.通过定制和可持续的深共晶溶剂作为绿色提取介质从槐米中高效提取黄酮类化合物。
J Pharm Biomed Anal. 2019 Jun 5;170:285-294. doi: 10.1016/j.jpba.2018.12.032. Epub 2018 Dec 20.
5
Response Surface Optimized Infrared-Assisted Extraction and UHPLC Determination of Flavonoid Types from Flos Sophorae.响应面优化红外辅助萃取及超高效液相色谱法测定槐花中的黄酮类成分
Molecules. 2017 Jun 15;22(6):1000. doi: 10.3390/molecules22061000.
6
Simultaneous Optimization for Ultrasound-Assisted Extraction and Antioxidant Activity of Flavonoids from Using Response Surface Methodology.采用响应面法同时优化超声辅助提取及抗氧化活性
Molecules. 2018 Dec 29;24(1):112. doi: 10.3390/molecules24010112.
7
Simultaneous Optimization of Ultrasound-Assisted Extraction for Flavonoids and Antioxidant Activity of Using Response Surface Methodology (RSM).利用响应面法(RSM)同时优化超声辅助提取黄酮类化合物和抗氧化活性的条件。
Molecules. 2019 Sep 24;24(19):3461. doi: 10.3390/molecules24193461.
8
Optimisation of infrared-assisted extraction of rutin from crude Flos Sophorae Immaturus using response surface methodology and HPLC analysis.采用响应面法和 HPLC 分析优化槐米中芦丁的红外辅助提取。
Phytochem Anal. 2012 Jul-Aug;23(4):292-8. doi: 10.1002/pca.1357. Epub 2011 Oct 18.
9
Microwave-Assisted Extraction Combined with In-Capillary [Fe(ferrozine)]-CE-DAD to Screen Active Components with the Ability to Chelate Ferrous Ions from Flos Sophorae Immaturus (Flos Sophorae).微波辅助萃取与毛细管内[Fe(邻菲啰啉)]-CE-DAD 结合,从槐米(槐米)中筛选具有螯合亚铁离子能力的活性成分。
Molecules. 2019 Aug 22;24(17):3052. doi: 10.3390/molecules24173052.
10
[Effect of drying processing methods on different specifications of Sophorae Flos based on comprehensive statistical analysis].基于综合统计分析的干燥加工方法对不同规格槐花的影响
Zhongguo Zhong Yao Za Zhi. 2021 Mar;46(6):1401-1409. doi: 10.19540/j.cnki.cjcmm.20201216.301.

引用本文的文献

1
Preparation of an exogenous additive from Psoralea corylifolia fruit and its flavor-modifying effects on cigar tobacco leaves.补骨脂果实外源添加剂的制备及其对雪茄烟叶的风味修饰作用
Sci Rep. 2025 Jul 2;15(1):22558. doi: 10.1038/s41598-025-03784-0.
2
Network pharmacology prediction and experiment validation to discover the mechanism of Linn. against liver cancer.网络药理学预测与实验验证以探究Linn.对肝癌的作用机制。
Cytotechnology. 2025 Jun;77(3):101. doi: 10.1007/s10616-025-00766-y. Epub 2025 May 15.
3
Extraction and Purification of Flavonoids and Antiviral and Antioxidant Activities of L.

本文引用的文献

1
Efficient extraction of flavonoids from Flos Sophorae Immaturus by tailored and sustainable deep eutectic solvent as green extraction media.通过定制和可持续的深共晶溶剂作为绿色提取介质从槐米中高效提取黄酮类化合物。
J Pharm Biomed Anal. 2019 Jun 5;170:285-294. doi: 10.1016/j.jpba.2018.12.032. Epub 2018 Dec 20.
2
Ultrasound-Assisted Extraction of Cannabinoids from Cannabis Sativa L. Optimized by Response Surface Methodology.超声辅助提取大麻二酚的研究。
J Food Sci. 2018 Mar;83(3):700-710. doi: 10.1111/1750-3841.14075. Epub 2018 Feb 13.
3
Hepatoprotective effects of kaempferol 3-O-rutinoside and kaempferol 3-O-glucoside from Carthamus tinctorius L. on CCl-induced oxidative liver injury in mice.
黄酮类化合物的提取与纯化以及[植物名称未明确,此处用L.指代]的抗病毒和抗氧化活性
Molecules. 2024 Dec 25;30(1):29. doi: 10.3390/molecules30010029.
4
Effects of Roasting on Antibacterial and Antioxidant Properties of Buds-The Involvements of Rutin and Quercetin Constituents.烘焙对芽的抗菌和抗氧化性能的影响——芦丁和槲皮素成分的作用
Plants (Basel). 2024 Nov 28;13(23):3337. doi: 10.3390/plants13233337.
5
A green deep eutectic solvent-based aqueous two-phase system combined with chemometrics for flavonoids extracting and detecting in honey.基于绿色深共熔溶剂的双水相体系结合化学计量学用于蜂蜜中黄酮类化合物的提取与检测
Food Chem X. 2024 Oct 26;24:101932. doi: 10.1016/j.fochx.2024.101932. eCollection 2024 Dec 30.
6
Ultrasound-assisted extraction, optimization, and purification of total flavonoids from Daphnegenkwa and analysis of their antioxidant, anti-inflammatory, and analgesic activities.超声辅助提取、优化及纯化芫花总黄酮及其抗氧化、抗炎和镇痛活性分析。
Ultrason Sonochem. 2024 Dec;111:107079. doi: 10.1016/j.ultsonch.2024.107079. Epub 2024 Sep 23.
7
Effects of different postharvest drying processes on flavonoid content and enzymatic activity of (L.) Schott flowers for industrial and medicinal use.不同采后干燥工艺对用于工业和药用的白兰花黄酮含量及酶活性的影响。
Heliyon. 2024 Jul 23;10(15):e35095. doi: 10.1016/j.heliyon.2024.e35095. eCollection 2024 Aug 15.
8
From waste to wonder: exploring the hypoglycemic and anti-oxidant properties of corn processing by-products.从废物到奇迹:探索玉米加工副产品的降血糖和抗氧化特性。
Front Chem. 2024 Jul 18;12:1433501. doi: 10.3389/fchem.2024.1433501. eCollection 2024.
9
Study on Purification, Identification and Antioxidant of Flavonoids Extracted from .从 中提取的黄酮类化合物的纯化、鉴定及抗氧化活性研究
Molecules. 2023 Oct 26;28(21):7273. doi: 10.3390/molecules28217273.
10
Quantitative and Differential Analysis between DC. and Willd. Using HPLC-MS and GC-MS Coupled with Multivariate Statistical Analysis.采用 HPLC-MS 和 GC-MS 联用结合多元统计分析对 DC. 和 Willd. 进行定量和差异分析。
Molecules. 2023 Jul 25;28(15):5630. doi: 10.3390/molecules28155630.
来自红花的山柰酚3 - O -芸香糖苷和山柰酚3 - O -葡萄糖苷对小鼠四氯化碳诱导的氧化性肝损伤的保肝作用。
J Food Drug Anal. 2015 Jun;23(2):310-317. doi: 10.1016/j.jfda.2014.10.002. Epub 2014 Dec 3.
4
Hepatoprotective Effects of Nicotiflorin from Nymphaea candida against Concanavalin A-Induced and D-Galactosamine-Induced Liver Injury in Mice.睡莲中金丝桃苷对刀豆蛋白A诱导及D-氨基半乳糖诱导的小鼠肝损伤的保肝作用
Int J Mol Sci. 2017 Mar 8;18(3):587. doi: 10.3390/ijms18030587.
5
Optimization of Pyrogallol Autoxidation Conditions and Its Application in Evaluation of Superoxide Anion Radical Scavenging Capacity for Four Antioxidants.连苯三酚自氧化条件的优化及其在四种抗氧化剂超氧阴离子自由基清除能力评价中的应用
J AOAC Int. 2016 Mar-Apr;99(2):504-11. doi: 10.5740/jaoacint.15-0223. Epub 2016 Mar 18.
6
Optimization of Microwave-Assisted Extraction Conditions for Five Major Bioactive Compounds from Flos Sophorae Immaturus (Cultivars of Sophora japonica L.) Using Response Surface Methodology.采用响应面法优化从槐米(国槐品种)中提取五种主要生物活性化合物的微波辅助提取条件
Molecules. 2016 Mar 2;21(3):296. doi: 10.3390/molecules21030296.
7
Isorhamnetin inhibits cell proliferation and induces apoptosis in breast cancer via Akt and mitogen‑activated protein kinase kinase signaling pathways.异鼠李素通过Akt和丝裂原活化蛋白激酶激酶信号通路抑制乳腺癌细胞增殖并诱导其凋亡。
Mol Med Rep. 2015 Nov;12(5):6745-51. doi: 10.3892/mmr.2015.4269.
8
Optimization of high-pressure ultrasonic-assisted simultaneous extraction of six major constituents from Ligusticum chuanxiong rhizome using response surface methodology.采用响应面法优化高压超声辅助同时提取川芎根茎中六种主要成分的工艺
Molecules. 2014 Feb 10;19(2):1887-911. doi: 10.3390/molecules19021887.
9
Extraction and isolation of flavonoid glycosides from Flos Sophorae Immaturus using ultrasonic-assisted extraction followed by high-speed countercurrent chromatography.采用超声辅助提取法结合高速逆流色谱法从槐米中提取并分离黄酮苷。
J Sep Sci. 2014 Apr;37(8):957-65. doi: 10.1002/jssc.201301340. Epub 2014 Mar 10.
10
Kaempferol nanoparticles achieve strong and selective inhibition of ovarian cancer cell viability.山奈酚纳米粒子实现了对卵巢癌细胞活力的强烈和选择性抑制。
Int J Nanomedicine. 2012;7:3951-9. doi: 10.2147/IJN.S33670. Epub 2012 Jul 24.