Suppr超能文献

基于深度学习的心脏电生理降阶模型。

Deep learning-based reduced order models in cardiac electrophysiology.

机构信息

MOX - Dipartimento di Matematica, Politecnico di Milano, Milano, Italy.

Mathematics Institute, École Polytechnique Fédérale de Lausanne, Lausanne, Switzerland.

出版信息

PLoS One. 2020 Oct 1;15(10):e0239416. doi: 10.1371/journal.pone.0239416. eCollection 2020.

Abstract

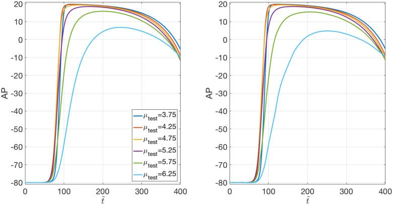
Predicting the electrical behavior of the heart, from the cellular scale to the tissue level, relies on the numerical approximation of coupled nonlinear dynamical systems. These systems describe the cardiac action potential, that is the polarization/depolarization cycle occurring at every heart beat that models the time evolution of the electrical potential across the cell membrane, as well as a set of ionic variables. Multiple solutions of these systems, corresponding to different model inputs, are required to evaluate outputs of clinical interest, such as activation maps and action potential duration. More importantly, these models feature coherent structures that propagate over time, such as wavefronts. These systems can hardly be reduced to lower dimensional problems by conventional reduced order models (ROMs) such as, e.g., the reduced basis method. This is primarily due to the low regularity of the solution manifold (with respect to the problem parameters), as well as to the nonlinear nature of the input-output maps that we intend to reconstruct numerically. To overcome this difficulty, in this paper we propose a new, nonlinear approach relying on deep learning (DL) algorithms-such as deep feedforward neural networks and convolutional autoencoders-to obtain accurate and efficient ROMs, whose dimensionality matches the number of system parameters. We show that the proposed DL-ROM framework can efficiently provide solutions to parametrized electrophysiology problems, thus enabling multi-scenario analysis in pathological cases. We investigate four challenging test cases in cardiac electrophysiology, thus demonstrating that DL-ROM outperforms classical projection-based ROMs.

摘要

从细胞尺度到组织水平预测心脏的电活动依赖于耦合非线性动力系统的数值逼近。这些系统描述了心脏动作电位,即在每次心跳时发生的极化/去极化循环,它模拟了细胞膜上电势的时间演化,以及一组离子变量。为了评估临床感兴趣的输出,如激活图和动作电位持续时间,需要这些系统的多个解,对应于不同的模型输入。更重要的是,这些模型具有随着时间传播的相干结构,如波前。这些系统很难通过传统的降阶模型(例如,约化基方法)将其简化为低维问题。这主要是由于解流形相对于(问题参数)的低正则性,以及我们打算数值重建的输入-输出映射的非线性性质。为了克服这一困难,在本文中,我们提出了一种新的基于深度学习(DL)算法的非线性方法,例如深度前馈神经网络和卷积自动编码器,以获得精确高效的 ROM,其维数与系统参数的数量匹配。我们表明,所提出的 DL-ROM 框架可以有效地为参数化电生理学问题提供解决方案,从而能够在病理情况下进行多场景分析。我们研究了心脏电生理学中的四个具有挑战性的测试案例,从而证明了 DL-ROM 优于经典基于投影的 ROM。

https://cdn.ncbi.nlm.nih.gov/pmc/blobs/edd4/7529269/32de56b888c9/pone.0239416.g001.jpg

文献检索

告别复杂PubMed语法,用中文像聊天一样搜索,搜遍4000万医学文献。AI智能推荐,让科研检索更轻松。

立即免费搜索

文件翻译

保留排版,准确专业,支持PDF/Word/PPT等文件格式,支持 12+语言互译。

免费翻译文档

深度研究

AI帮你快速写综述,25分钟生成高质量综述,智能提取关键信息,辅助科研写作。

立即免费体验