• 文献检索
  • 文档翻译
  • 深度研究
  • 学术资讯
  • Suppr Zotero 插件Zotero 插件
  • 邀请有礼
  • 套餐&价格
  • 历史记录
应用&插件
Suppr Zotero 插件Zotero 插件浏览器插件Mac 客户端Windows 客户端微信小程序
定价
高级版会员购买积分包购买API积分包
服务
文献检索文档翻译深度研究API 文档MCP 服务
关于我们
关于 Suppr公司介绍联系我们用户协议隐私条款
关注我们

Suppr 超能文献

核心技术专利:CN118964589B侵权必究
粤ICP备2023148730 号-1Suppr @ 2026

文献检索

告别复杂PubMed语法,用中文像聊天一样搜索,搜遍4000万医学文献。AI智能推荐,让科研检索更轻松。

立即免费搜索

文件翻译

保留排版,准确专业,支持PDF/Word/PPT等文件格式,支持 12+语言互译。

免费翻译文档

深度研究

AI帮你快速写综述,25分钟生成高质量综述,智能提取关键信息,辅助科研写作。

立即免费体验

中国电动汽车普及对缓解极端空气质量事件的潜力。

Potential for Electric Vehicle Adoption to Mitigate Extreme Air Quality Events in China.

作者信息

Schnell J L, Peters D R, Wong D C, Lu X, Guo H, Zhang H, Kinney P L, Horton D E

机构信息

Department of Earth and Planetary Sciences and Institute for Sustainability and Energy at Northwestern University, Evanston, IL, USA.

now at: Cooperative Institute for Research in Environmental Sciences at the University of Colorado Boulder NOAA/Global Systems Laboratory, Boulder, CO, USA.

出版信息

Earths Future. 2021 Feb 12;9(2). doi: 10.1029/2020ef001788.

DOI:10.1029/2020ef001788
PMID:33748315
原文链接:https://pmc.ncbi.nlm.nih.gov/articles/PMC7970456/
Abstract

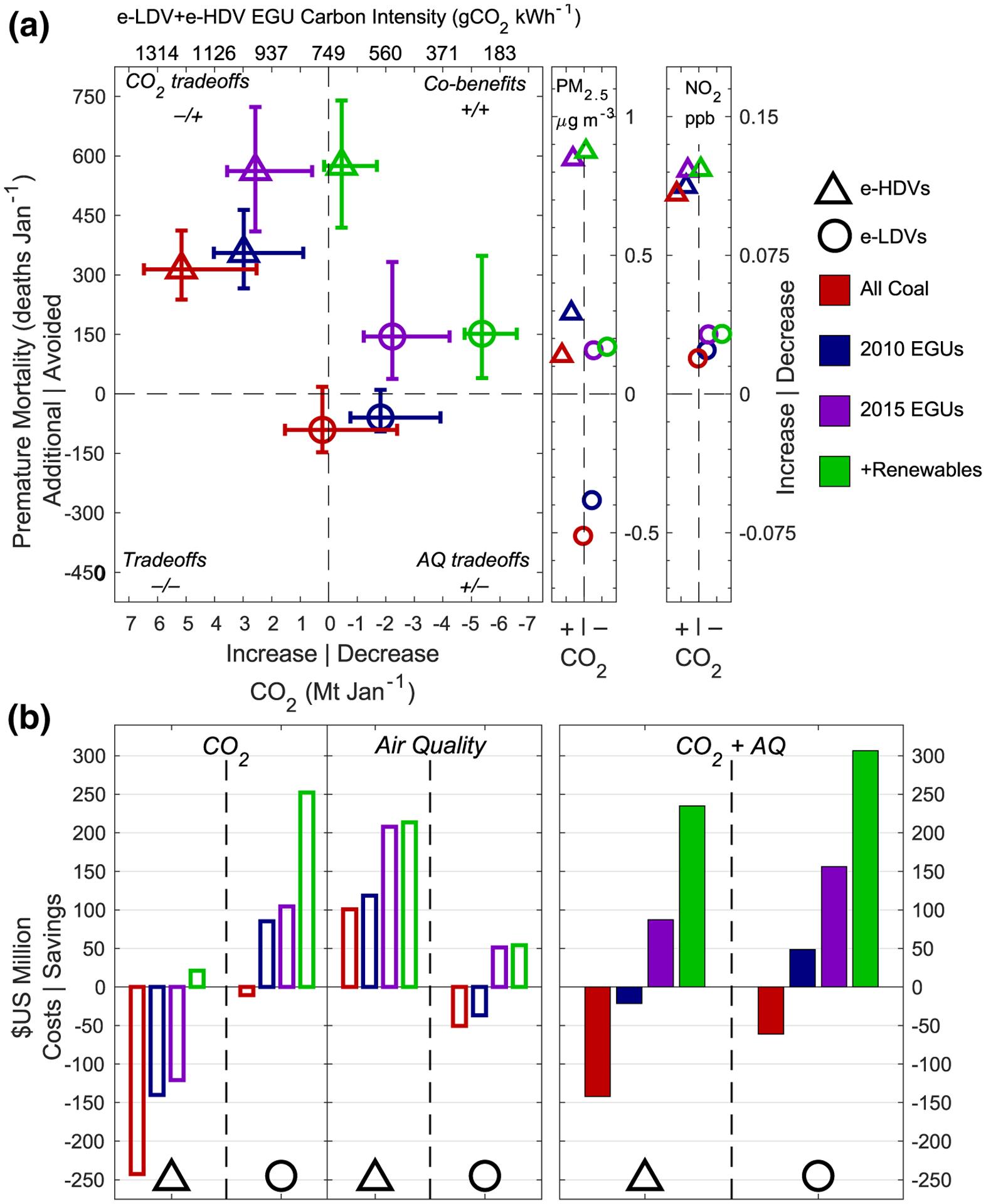
Electric vehicle (EV) adoption promises potential air pollutant and greenhouse gas (GHG) reduction co-benefits. As such, China has aggressively incentivized EV adoption, however much remains unknown with regard to EVs' mitigation potential, including optimal vehicle type prioritization, power generation contingencies, effects of Clean Air regulations, and the ability of EVs to reduce acute impacts of extreme air quality events. Here, we present a suite of scenarios with a chemistry transport model that assess the potential co-benefits of EVs during an extreme winter air quality event. We find that regardless of power generation source, heavy-duty vehicle (HDV) electrification consistently improves air quality in terms of NO and fine particulate matter (PM), potentially avoiding 562 deaths due to acute pollutant exposure during the infamous January 2013 pollution episode (1% of total premature mortality). However, HDV electrification does not reduce GHG emissions without enhanced emission-free electricity generation. In contrast, due to differing emission profiles, light-duty vehicle (LDV) electrification in China consistently reduces GHG emissions (2 Mt CO), but results in fewer air quality and human health improvements (145 avoided deaths). The calculated economic impacts for human health endpoints and CO reductions for LDV electrification are nearly double those of HDV electrification in present-day (155M vs. 87M US$), but are within ~25% when enhanced emission-free generation is used to power them. Overall, we find only a modest benefit for EVs to ameliorate severe wintertime pollution events, and that continued emission reductions in the power generation sector will have the greatest human health and economic benefits.

摘要

采用电动汽车有望带来减少空气污染物和温室气体排放的协同效益。正因如此,中国大力鼓励电动汽车的使用,然而,电动汽车的减排潜力仍有许多未知之处,包括最佳车型的优先排序、发电突发事件、清洁空气法规的影响以及电动汽车减少极端空气质量事件急性影响的能力。在此,我们使用化学传输模型展示了一系列情景,以评估电动汽车在极端冬季空气质量事件期间的潜在协同效益。我们发现,无论发电来源如何,重型车辆(HDV)的电动化在氮氧化物和细颗粒物(PM)方面持续改善空气质量,在2013年1月臭名昭著的污染事件期间,可能避免因急性污染物暴露导致的562人死亡(约占总过早死亡率的1%)。然而,重型车辆电动化在没有增加无排放发电的情况下不会减少温室气体排放。相比之下,由于排放特征不同,中国轻型车辆(LDV)的电动化持续减少温室气体排放(约200万吨二氧化碳),但空气质量改善和对人类健康的改善较少(避免145人死亡)。计算得出的轻型车辆电动化对人类健康终点的经济影响和二氧化碳减排量几乎是当今重型车辆电动化的两倍(1.55亿美元对8700万美元),但在使用增强型无排放发电为其供电时,两者相差约25%。总体而言,我们发现电动汽车对缓解严重冬季污染事件的益处不大,发电部门持续减排将带来最大的人类健康和经济效益。

https://cdn.ncbi.nlm.nih.gov/pmc/blobs/bc0e/7970456/df81a8ca747a/nihms-1674730-f0005.jpg
https://cdn.ncbi.nlm.nih.gov/pmc/blobs/bc0e/7970456/0c72cc79fc16/nihms-1674730-f0001.jpg
https://cdn.ncbi.nlm.nih.gov/pmc/blobs/bc0e/7970456/ffb859c56ffb/nihms-1674730-f0002.jpg
https://cdn.ncbi.nlm.nih.gov/pmc/blobs/bc0e/7970456/f64f3534b761/nihms-1674730-f0003.jpg
https://cdn.ncbi.nlm.nih.gov/pmc/blobs/bc0e/7970456/6c30be4c96ec/nihms-1674730-f0004.jpg
https://cdn.ncbi.nlm.nih.gov/pmc/blobs/bc0e/7970456/df81a8ca747a/nihms-1674730-f0005.jpg
https://cdn.ncbi.nlm.nih.gov/pmc/blobs/bc0e/7970456/0c72cc79fc16/nihms-1674730-f0001.jpg
https://cdn.ncbi.nlm.nih.gov/pmc/blobs/bc0e/7970456/ffb859c56ffb/nihms-1674730-f0002.jpg
https://cdn.ncbi.nlm.nih.gov/pmc/blobs/bc0e/7970456/f64f3534b761/nihms-1674730-f0003.jpg
https://cdn.ncbi.nlm.nih.gov/pmc/blobs/bc0e/7970456/6c30be4c96ec/nihms-1674730-f0004.jpg
https://cdn.ncbi.nlm.nih.gov/pmc/blobs/bc0e/7970456/df81a8ca747a/nihms-1674730-f0005.jpg

相似文献

1
Potential for Electric Vehicle Adoption to Mitigate Extreme Air Quality Events in China.中国电动汽车普及对缓解极端空气质量事件的潜力。
Earths Future. 2021 Feb 12;9(2). doi: 10.1029/2020ef001788.
2
Health benefits of vehicle electrification through air pollution in Shanghai, China.中国上海通过减少空气污染实现车辆电动化的健康效益。
Sci Total Environ. 2024 Mar 1;914:169859. doi: 10.1016/j.scitotenv.2023.169859. Epub 2024 Jan 6.
3
Public Health and Climate Benefits and Trade-Offs of U.S. Vehicle Electrification.美国车辆电气化的公共卫生与气候效益及权衡
Geohealth. 2020 Oct 1;4(10):e2020GH000275. doi: 10.1029/2020GH000275. eCollection 2020 Oct.
4
The future air quality impact of electric vehicle promotion and coordinated charging in the Beijing-Tianjin-Hebei region.京津冀地区推广电动汽车和协调充电对未来空气质量的影响。
Environ Pollut. 2023 Sep 1;332:121928. doi: 10.1016/j.envpol.2023.121928. Epub 2023 Jun 2.
5
The 2023 Latin America report of the Countdown on health and climate change: the imperative for health-centred climate-resilient development.《2023年健康与气候变化倒计时拉丁美洲报告:以健康为中心的气候适应型发展的必要性》
Lancet Reg Health Am. 2024 Apr 23;33:100746. doi: 10.1016/j.lana.2024.100746. eCollection 2024 May.
6
Real-World Vehicle Emissions Characterization for the Shing Mun Tunnel in Hong Kong and Fort McHenry Tunnel in the United States.香港城门隧道和美国麦克亨利堡隧道的实际车辆排放特征
Res Rep Health Eff Inst. 2019 Mar;2019(199):5-52.
7
Impacts of Regulations on Air Quality and Emergency Department Visits in the Atlanta Metropolitan Area, 1999-2013.1999 - 2013年法规对亚特兰大大都市区空气质量及急诊就诊情况的影响
Res Rep Health Eff Inst. 2018 Apr;2018(195):1-93.
8
Greenhouse gas emission benefits of adopting new energy vehicles in Suzhou City, China: A case study.中国苏州市采用新能源汽车的温室气体排放效益:一项案例研究。
Environ Sci Pollut Res Int. 2022 Oct;29(50):76286-76297. doi: 10.1007/s11356-022-21284-w. Epub 2022 Jun 6.
9
Societal Co-benefits of Zero-Emission Vehicles in the Freight Industry.货运业零排放车辆的社会效益。
Environ Sci Technol. 2024 May 7;58(18):7814-7825. doi: 10.1021/acs.est.3c08867. Epub 2024 Apr 26.
10
Impact assessment of vehicle electrification pathways on emissions of CO and air pollution in Xi'an, China.中国西安车辆电气化路径对 CO 和空气污染排放的影响评估。
Sci Total Environ. 2023 Oct 1;893:164856. doi: 10.1016/j.scitotenv.2023.164856. Epub 2023 Jun 15.

引用本文的文献

1
Fifteen Pathways between Electric Vehicles and Public Health: A Transportation-Health Conceptual Framework.电动汽车与公共卫生之间的十五条路径:一个交通-健康概念框架。
Environ Health (Wash). 2024 Sep 17;2(12):848-853. doi: 10.1021/envhealth.4c00156. eCollection 2024 Dec 20.
2
Electric vehicles and health: A scoping review.电动汽车与健康:范围综述。
Environ Res. 2024 Jun 15;251(Pt 2):118697. doi: 10.1016/j.envres.2024.118697. Epub 2024 Mar 16.
3
How does adoption of electric vehicles reduce carbon emissions? Evidence from China.

本文引用的文献

1
Guidelines for Modeling and Reporting Health Effects of Climate Change Mitigation Actions.气候变化减缓措施的健康影响建模和报告指南。
Environ Health Perspect. 2020 Nov;128(11):115001. doi: 10.1289/EHP6745. Epub 2020 Nov 10.
2
Public Health and Climate Benefits and Trade-Offs of U.S. Vehicle Electrification.美国车辆电气化的公共卫生与气候效益及权衡
Geohealth. 2020 Oct 1;4(10):e2020GH000275. doi: 10.1029/2020GH000275. eCollection 2020 Oct.
3
Net emission reductions from electric cars and heat pumps in 59 world regions over time.
电动汽车的普及如何减少碳排放?来自中国的证据。
Heliyon. 2023 Sep 19;9(9):e20296. doi: 10.1016/j.heliyon.2023.e20296. eCollection 2023 Sep.
4
Regionally differentiated promotion of electric vehicles in China considering environmental and human health impacts.考虑环境和人类健康影响的中国电动汽车区域差异化推广
Environ Res Lett. 2023 Jul 1;18(7):074022. doi: 10.1088/1748-9326/acdbde. Epub 2023 Jun 22.
5
Evaluating long-term emission impacts of large-scale electric vehicle deployment in the US using a human-Earth systems model.使用人类-地球系统模型评估美国大规模电动汽车部署的长期排放影响。
Appl Energy. 2021 Oct 15;300:1-117364. doi: 10.1016/j.apenergy.2021.117364.
随着时间推移,59个世界地区电动汽车和热泵的净减排量。
Nat Sustain. 2020 Jun;3(6):437-447. doi: 10.1038/s41893-020-0488-7. Epub 2020 Mar 23.
4
A Low-Carbon Future Could Improve Global Health and Achieve Economic Benefits.低碳未来可改善全球健康并带来经济效益。
JAMA. 2020 Apr 7;323(13):1247-1248. doi: 10.1001/jama.2020.1313.
5
The January 2013 Beijing "Airpocalypse" and its Acute Effects on Emergency and Outpatient Visits at a Beijing Hospital.2013年1月北京的“空气末日”及其对北京某医院急诊和门诊就诊情况的急性影响。
Air Qual Atmos Health. 2018 Apr;11(3):301-309. doi: 10.1007/s11869-017-0538-0. Epub 2017 Dec 29.
6
Drivers of improved PM air quality in China from 2013 to 2017.2013 年至 2017 年中国改善 PM 空气质量的驱动因素。
Proc Natl Acad Sci U S A. 2019 Dec 3;116(49):24463-24469. doi: 10.1073/pnas.1907956116. Epub 2019 Nov 18.
7
Impacts of climate change on future air quality and human health in China.气候变化对未来中国空气质量和人类健康的影响。
Proc Natl Acad Sci U S A. 2019 Aug 27;116(35):17193-17200. doi: 10.1073/pnas.1812881116. Epub 2019 Aug 12.
8
Clean air for some: Unintended spillover effects of regional air pollution policies.清洁空气惠及部分地区:区域空气污染政策的意外溢出效应。
Sci Adv. 2019 Apr 24;5(4):eaav4707. doi: 10.1126/sciadv.aav4707. eCollection 2019 Apr.
9
Health co-benefits of climate action.气候行动带来的健康协同效益。
Lancet Planet Health. 2017 Apr;1(1):e4-e5. doi: 10.1016/S2542-5196(17)30003-7. Epub 2017 Apr 4.
10
Associations Between Ambient Nitrogen Dioxide and Daily Cause-specific Mortality: Evidence from 272 Chinese Cities.大气二氧化氮与每日特定病因死亡率之间的关联:来自 272 个中国城市的证据。
Epidemiology. 2018 Jul;29(4):482-489. doi: 10.1097/EDE.0000000000000829.