Suppr超能文献

成人膳食铜摄入量与中风风险:基于2013 - 2018年美国国家健康和营养检查调查的病例对照研究

Dietary Copper Intake and Risk of Stroke in Adults: A Case-Control Study Based on National Health and Nutrition Examination Survey 2013-2018.

作者信息

Yang Lixiang, Chen Xun, Cheng Huilin, Zhang Lihua

机构信息

Department of Neurosurgery, Zhongda Hospital, School of Medicine, Southeast University, Nanjing 210009, China.

Department of Cognitive Neurolinguistics, School of Foregin Language, East China University of Science and Techonology, Shanghai 200237, China.

出版信息

Nutrients. 2022 Jan 18;14(3):409. doi: 10.3390/nu14030409.

Abstract

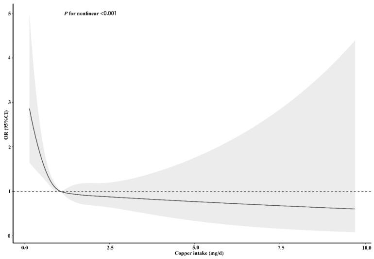
The association between dietary copper intake and the risk of stroke is unknown. We included a total of 10,550 participants from the National Health and Nutrition Examination Survey (NHANES) 2013−2018. Two 24-h dietary recalls and a standard questionnaire were used to determine copper intake and stroke, respectively. We used logistic regression models to estimate the associations between dietary copper intake and the risk of stroke. The nearest-neighbor propensity score matching (PSM) with a ratio of 1:2 was used to reduce selection bias. The non-linear relationship was explored with restricted cubic splines (RCS). The correlation between copper intake and baseline characteristics was detected by the Pearson correlation coefficient. The median dietary copper intake was 1.072 mg/day (IQR = 1.42−0.799). Approximately 3.8% (399) of the participants had a history of stroke. A multivariate logistic regression analysis before and after matching showed that subjects in the higher quartile had significantly lower odds of stroke compared with subjects in the first quartile of copper intake. A stratified analysis showed that copper intake was a significant protective factor for women, individuals <65 years old, individuals with hypertension, individuals who smoke, and diabetic stroke patients. The RCS models showed an L-shaped nonlinear relationship (p for nonlinear < 0.001) between copper intake and stroke. Our results suggested that increased dietary copper intake was associated with a lower risk of stroke.

摘要

饮食中铜摄入量与中风风险之间的关联尚不清楚。我们纳入了来自2013 - 2018年美国国家健康与营养检查调查(NHANES)的总共10550名参与者。分别使用两次24小时饮食回忆法和一份标准问卷来确定铜摄入量和中风情况。我们使用逻辑回归模型来估计饮食中铜摄入量与中风风险之间的关联。采用1:2比例的最近邻倾向得分匹配(PSM)来减少选择偏倚。使用受限立方样条(RCS)探索非线性关系。通过Pearson相关系数检测铜摄入量与基线特征之间的相关性。饮食中铜摄入量的中位数为1.072毫克/天(四分位间距 = 1.42 - 0.799)。约3.8%(399名)参与者有中风病史。匹配前后的多变量逻辑回归分析表明,与铜摄入量第一四分位数的受试者相比,处于较高四分位数的受试者中风几率显著更低。分层分析表明,铜摄入量对于女性、年龄<65岁的个体、高血压患者、吸烟者以及糖尿病中风患者是一个显著的保护因素。RCS模型显示铜摄入量与中风之间呈L形非线性关系(非线性p<0.001)。我们的结果表明,饮食中铜摄入量增加与中风风险降低相关。

https://cdn.ncbi.nlm.nih.gov/pmc/blobs/3d30/8839334/ea04f83fb26d/nutrients-14-00409-g001.jpg

文献检索

告别复杂PubMed语法,用中文像聊天一样搜索,搜遍4000万医学文献。AI智能推荐,让科研检索更轻松。

立即免费搜索

文件翻译

保留排版,准确专业,支持PDF/Word/PPT等文件格式,支持 12+语言互译。

免费翻译文档

深度研究

AI帮你快速写综述,25分钟生成高质量综述,智能提取关键信息,辅助科研写作。

立即免费体验