• 文献检索
  • 文档翻译
  • 深度研究
  • 学术资讯
  • Suppr Zotero 插件Zotero 插件
  • 邀请有礼
  • 套餐&价格
  • 历史记录
应用&插件
Suppr Zotero 插件Zotero 插件浏览器插件Mac 客户端Windows 客户端微信小程序
定价
高级版会员购买积分包购买API积分包
服务
文献检索文档翻译深度研究API 文档MCP 服务
关于我们
关于 Suppr公司介绍联系我们用户协议隐私条款
关注我们

Suppr 超能文献

核心技术专利:CN118964589B侵权必究
粤ICP备2023148730 号-1Suppr @ 2026

文献检索

告别复杂PubMed语法,用中文像聊天一样搜索,搜遍4000万医学文献。AI智能推荐,让科研检索更轻松。

立即免费搜索

文件翻译

保留排版,准确专业,支持PDF/Word/PPT等文件格式,支持 12+语言互译。

免费翻译文档

深度研究

AI帮你快速写综述,25分钟生成高质量综述,智能提取关键信息,辅助科研写作。

立即免费体验

推特上关于新冠疫苗的负面信息:内容分析

Negative COVID-19 Vaccine Information on Twitter: Content Analysis.

作者信息

Yiannakoulias Niko, Darlington J Connor, Slavik Catherine E, Benjamin Grant

机构信息

School of Earth, Environment and Society McMaster University Hamilton, ON Canada.

School of Geography and Environmental Management University of Waterloo Waterloo, ON Canada.

出版信息

JMIR Infodemiology. 2022 Aug 29;2(2):e38485. doi: 10.2196/38485. eCollection 2022 Jul-Dec.

DOI:10.2196/38485
PMID:36348980
原文链接:https://pmc.ncbi.nlm.nih.gov/articles/PMC9632001/
Abstract

BACKGROUND

Social media platforms, such as Facebook, Instagram, Twitter, and YouTube, have a role in spreading anti-vaccine opinion and misinformation. Vaccines have been an important component of managing the COVID-19 pandemic, so content that discourages vaccination is generally seen as a concern to public health. However, not all negative information about vaccines is explicitly anti-vaccine, and some of it may be an important part of open communication between public health experts and the community.

OBJECTIVE

This research aimed to determine the frequency of negative COVID-19 vaccine information on Twitter in the first 4 months of 2021.

METHODS

We manually coded 7306 tweets sampled from a large sampling frame of tweets related to COVID-19 and vaccination collected in early 2021. We also coded the geographic location and mentions of specific vaccine producers. We compared the prevalence of anti-vaccine and negative vaccine information over time by author type, geography (United States, United Kingdom, and Canada), and vaccine developer.

RESULTS

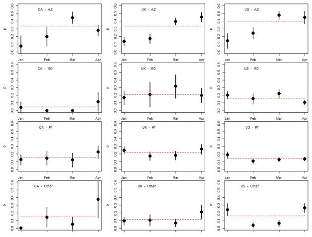
We found that 1.8% (131/7306) of tweets were anti-vaccine, but 21% (1533/7306) contained negative vaccine information. The media and government were common sources of negative vaccine information but not anti-vaccine content. Twitter users from the United States generated the plurality of negative vaccine information; however, Twitter users in the United Kingdom were more likely to generate negative vaccine information. Negative vaccine information related to the Oxford/AstraZeneca vaccine was the most common, particularly in March and April 2021.

CONCLUSIONS

Overall, the volume of explicit anti-vaccine content on Twitter was small, but negative vaccine information was relatively common and authored by a breadth of Twitter users (including government, medical, and media sources). Negative vaccine information should be distinguished from anti-vaccine content, and its presence on social media could be promoted as evidence of an effective communication system that is honest about the potential negative effects of vaccines while promoting the overall health benefits. However, this content could still contribute to vaccine hesitancy if it is not properly contextualized.

摘要

背景

脸书、照片墙、推特和优兔等社交媒体平台在传播反疫苗观点和错误信息方面发挥了作用。疫苗一直是应对新冠疫情的重要组成部分,因此劝阻接种疫苗的内容通常被视为对公共卫生的一种担忧。然而,并非所有关于疫苗的负面信息都是明确的反疫苗信息,其中一些可能是公共卫生专家与社区之间开放交流的重要组成部分。

目的

本研究旨在确定2021年的前4个月推特上负面新冠疫苗信息的出现频率。

方法

我们对从2021年初收集的与新冠疫情和疫苗接种相关的大量推文样本框架中抽取的7306条推文进行了人工编码。我们还对地理位置以及对特定疫苗生产商的提及进行了编码。我们按作者类型、地理位置(美国、英国和加拿大)以及疫苗开发商,比较了不同时间内反疫苗和负面疫苗信息的流行情况。

结果

我们发现1.8%(131/7306)的推文是反疫苗的,但21%(1533/7306)包含负面疫苗信息。媒体和政府是负面疫苗信息的常见来源,但不是反疫苗内容的来源。来自美国的推特用户产生了大部分负面疫苗信息;然而,英国的推特用户更有可能产生负面疫苗信息。与牛津/阿斯利康疫苗相关的负面疫苗信息最为常见,尤其是在2021年3月和4月。

结论

总体而言,推特上明确的反疫苗内容数量较少,但负面疫苗信息相对常见,且由广泛的推特用户(包括政府、医学和媒体来源)发布。负面疫苗信息应与反疫苗内容区分开来,其在社交媒体上的存在可以作为一个有效沟通系统的证据而得到推广,该系统在宣传疫苗总体健康益处的同时,诚实地告知疫苗潜在的负面影响。然而,如果这些内容没有得到恰当的背景阐释,仍可能导致疫苗犹豫。

https://cdn.ncbi.nlm.nih.gov/pmc/blobs/b747/10117307/91861fe1a818/infodemiology_v2i2e38485_fig4.jpg
https://cdn.ncbi.nlm.nih.gov/pmc/blobs/b747/10117307/8db051cb85ea/infodemiology_v2i2e38485_fig1.jpg
https://cdn.ncbi.nlm.nih.gov/pmc/blobs/b747/10117307/5bb46ffae97b/infodemiology_v2i2e38485_fig2.jpg
https://cdn.ncbi.nlm.nih.gov/pmc/blobs/b747/10117307/bc733fd059c2/infodemiology_v2i2e38485_fig3.jpg
https://cdn.ncbi.nlm.nih.gov/pmc/blobs/b747/10117307/91861fe1a818/infodemiology_v2i2e38485_fig4.jpg
https://cdn.ncbi.nlm.nih.gov/pmc/blobs/b747/10117307/8db051cb85ea/infodemiology_v2i2e38485_fig1.jpg
https://cdn.ncbi.nlm.nih.gov/pmc/blobs/b747/10117307/5bb46ffae97b/infodemiology_v2i2e38485_fig2.jpg
https://cdn.ncbi.nlm.nih.gov/pmc/blobs/b747/10117307/bc733fd059c2/infodemiology_v2i2e38485_fig3.jpg
https://cdn.ncbi.nlm.nih.gov/pmc/blobs/b747/10117307/91861fe1a818/infodemiology_v2i2e38485_fig4.jpg

相似文献

1
Negative COVID-19 Vaccine Information on Twitter: Content Analysis.推特上关于新冠疫苗的负面信息:内容分析
JMIR Infodemiology. 2022 Aug 29;2(2):e38485. doi: 10.2196/38485. eCollection 2022 Jul-Dec.
2
Spread of COVID-19 Vaccine Misinformation in the Ninth Inning: Retrospective Observational Infodemic Study.新冠疫苗错误信息在最后阶段的传播:回顾性观察性信息疫情研究
JMIR Infodemiology. 2022 Mar 16;2(1):e33587. doi: 10.2196/33587. eCollection 2022 Jan-Jun.
3
Tracking Public Attitudes Toward COVID-19 Vaccination on Tweets in Canada: Using Aspect-Based Sentiment Analysis.追踪加拿大推特上公众对 COVID-19 疫苗接种的态度:使用基于方面的情感分析。
J Med Internet Res. 2022 Mar 29;24(3):e35016. doi: 10.2196/35016.
4
COVID-19 Vaccine Hesitancy on Social Media: Building a Public Twitter Data Set of Antivaccine Content, Vaccine Misinformation, and Conspiracies.社交媒体上对 COVID-19 疫苗的犹豫:构建一个关于反疫苗内容、疫苗错误信息和阴谋论的公共 Twitter 数据集。
JMIR Public Health Surveill. 2021 Nov 17;7(11):e30642. doi: 10.2196/30642.
5
One Year of COVID-19 Vaccine Misinformation on Twitter: Longitudinal Study.《推特上一年的 COVID-19 疫苗错误信息:纵向研究》。
J Med Internet Res. 2023 Feb 24;25:e42227. doi: 10.2196/42227.
6
Public Figure Vaccination Rhetoric and Vaccine Hesitancy: Retrospective Twitter Analysis.公众人物的疫苗接种言论与疫苗犹豫:推特回顾性分析
JMIR Infodemiology. 2023 Mar 10;3:e40575. doi: 10.2196/40575. eCollection 2023.
7
Applying Multiple Data Collection Tools to Quantify Human Papillomavirus Vaccine Communication on Twitter.应用多种数据收集工具量化推特上的人乳头瘤病毒疫苗传播情况
J Med Internet Res. 2016 Dec 5;18(12):e318. doi: 10.2196/jmir.6670.
8
Fine-tuned Sentiment Analysis of COVID-19 Vaccine-Related Social Media Data: Comparative Study.新冠疫苗相关社交媒体数据的微调情感分析:比较研究。
J Med Internet Res. 2022 Oct 17;24(10):e40408. doi: 10.2196/40408.
9
Cross-platform spread: vaccine-related content, sources, and conspiracy theories in YouTube videos shared in early Twitter COVID-19 conversations.跨平台传播:在早期 Twitter COVID-19 对话中分享的 YouTube 视频中的疫苗相关内容、来源和阴谋论。
Hum Vaccin Immunother. 2022 Dec 31;18(1):1-13. doi: 10.1080/21645515.2021.2003647. Epub 2022 Jan 21.
10
Monitoring User Opinions and Side Effects on COVID-19 Vaccines in the Twittersphere: Infodemiology Study of Tweets.监测推特用户对 COVID-19 疫苗的意见和副作用:推特上的信息流行病学研究。
J Med Internet Res. 2022 May 13;24(5):e35115. doi: 10.2196/35115.

引用本文的文献

1
Exploring Topics, Emotions, and Sentiments in Health Organization Posts and Public Responses on Instagram: Content Analysis.探索健康组织在Instagram上发布的内容以及公众回应中的主题、情感和情绪:内容分析
JMIR Infodemiology. 2025 May 2;5:e70576. doi: 10.2196/70576.
2
The Impact of Comment Slant and Comment Tone on Digital Health Communication Among Polarized Publics: A Web-Based Survey Experiment.评论倾向和评论语气对两极化公众的数字健康传播的影响:一项基于网络的调查实验。
J Med Internet Res. 2024 Nov 15;26:e57967. doi: 10.2196/57967.
3
Mapping automatic social media information disorder. The role of bots and AI in spreading misleading information in society.

本文引用的文献

1
Vaccine hesitancy: evidence from an adverse events following immunization database, and the role of cognitive biases.疫苗犹豫:来自疫苗不良反应监测数据库的证据,以及认知偏差的作用。
BMC Public Health. 2021 Sep 16;21(1):1686. doi: 10.1186/s12889-021-11745-1.
2
Using Twitter for sentiment analysis towards AstraZeneca/Oxford, Pfizer/BioNTech and Moderna COVID-19 vaccines.使用 Twitter 对阿斯利康/牛津、辉瑞/BioNTech 和莫德纳 COVID-19 疫苗进行情绪分析。
Postgrad Med J. 2022 Jul;98(1161):544-550. doi: 10.1136/postgradmedj-2021-140685. Epub 2021 Aug 9.
3
Enablers and barriers to COVID-19 vaccine uptake: An international study of perceptions and intentions.
自动社交媒体信息混乱的映射。机器人和人工智能在社会传播误导性信息中的作用。
PLoS One. 2024 May 31;19(5):e0303183. doi: 10.1371/journal.pone.0303183. eCollection 2024.
4
Effects of SARS-CoV-2 Vaccines on Sperm Quality: Systematic Review.新型冠状病毒疫苗对精子质量的影响:系统评价。
JMIR Public Health Surveill. 2023 Dec 6;9:e48511. doi: 10.2196/48511.
5
Topics in Antivax and Provax Discourse: Yearlong Synoptic Study of COVID-19 Vaccine Tweets.抗疫苗和支持疫苗言论主题:对 COVID-19 疫苗推文的全年综合研究。
J Med Internet Res. 2023 Aug 8;25:e45069. doi: 10.2196/45069.
6
Anti-vaccination attitude trends during the COVID-19 pandemic: A machine learning-based analysis of tweets.新冠疫情期间的反疫苗态度趋势:基于机器学习的推文分析
Digit Health. 2023 Feb 19;9:20552076231158033. doi: 10.1177/20552076231158033. eCollection 2023 Jan-Dec.
新冠疫苗接种的促进因素和障碍:一项国际认知和意愿研究。
Vaccine. 2021 Aug 23;39(36):5116-5128. doi: 10.1016/j.vaccine.2021.07.056. Epub 2021 Jul 23.
4
Transparent communication about negative features of COVID-19 vaccines decreases acceptance but increases trust.透明地沟通 COVID-19 疫苗的负面特征会降低其接受度,但会增加信任。
Proc Natl Acad Sci U S A. 2021 Jul 20;118(29). doi: 10.1073/pnas.2024597118. Epub 2021 Jul 2.
5
COVID-19 Vaccine-Related Discussion on Twitter: Topic Modeling and Sentiment Analysis.新冠疫苗相关推文的讨论:主题建模和情感分析。
J Med Internet Res. 2021 Jun 29;23(6):e24435. doi: 10.2196/24435.
6
An analysis of COVID-19 vaccine sentiments and opinions on Twitter.对 Twitter 上有关 COVID-19 疫苗情绪和观点的分析。
Int J Infect Dis. 2021 Jul;108:256-262. doi: 10.1016/j.ijid.2021.05.059. Epub 2021 May 27.
7
YouTube Videos and Informed Decision-Making About COVID-19 Vaccination: Successive Sampling Study.YouTube 视频与新冠疫苗接种知情决策:连续抽样研究
JMIR Public Health Surveill. 2021 May 6;7(5):e28352. doi: 10.2196/28352.
8
Measuring the impact of COVID-19 vaccine misinformation on vaccination intent in the UK and USA.测量 COVID-19 疫苗错误信息对英国和美国疫苗接种意愿的影响。
Nat Hum Behav. 2021 Mar;5(3):337-348. doi: 10.1038/s41562-021-01056-1. Epub 2021 Feb 5.
9
Vaccine Hesitancy on Social Media: Sentiment Analysis from June 2011 to April 2019.社交媒体上的疫苗犹豫情绪:2011年6月至2019年4月的情感分析
Vaccines (Basel). 2021 Jan 7;9(1):28. doi: 10.3390/vaccines9010028.
10
Understanding the messages and motivation of vaccine hesitant or refusing social media influencers.理解对疫苗持犹豫或拒绝态度的社交媒体影响者的信息和动机。
Vaccine. 2021 Jan 8;39(2):350-356. doi: 10.1016/j.vaccine.2020.11.058. Epub 2020 Dec 3.