Ghidoli Martina, Ponzoni Elena, Araniti Fabrizio, Miglio Daniela, Pilu Roberto
Department of Agricultural and Environmental Sciences-Production, Landscape, Agroenergy, Università degli Studi di Milano, Via G. Celoria 2, 20133 Milan, Italy.
Institute of Agricultural Biology and Biotechnology, Consiglio Nazionale delle Ricerche, Via E. Bassini 15, 20133 Milan, Italy.
Plants (Basel). 2023 Jan 27;12(3):570. doi: 10.3390/plants12030570.
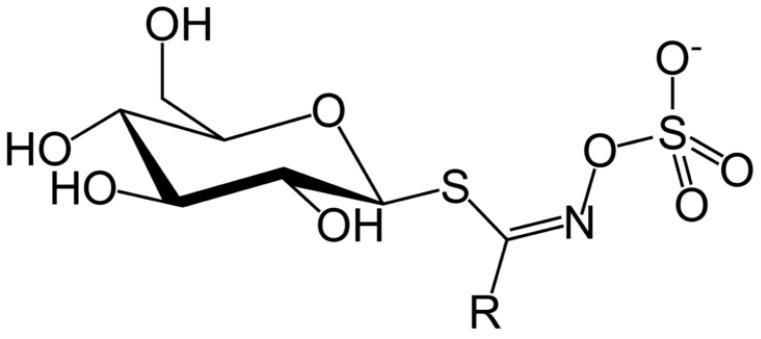
In recent years, a renewed interest in novel crops has been developing due to the environmental issues associated with the sustainability of agricultural practices. In particular, a cover crop, (L.) Crantz, belonging to the Brassicaceae family, is attracting the scientific community's interest for several desirable features. It is related to the model species , and its oil extracted from the seeds can be used either for food and feed, or for industrial uses such as biofuel production. From an agronomic point of view, it can grow in marginal lands with little or no inputs, and is practically resistant to the most important pathogens of . Although cultivated in the past, particularly in northern Europe and Italy, in the last century, it was abandoned. For this reason, little breeding work has been conducted to improve this plant, also because of the low genetic variability present in this hexaploid species. In this review, we summarize the main works on this crop, focused on genetic improvement with three main objectives: yield, seed oil content and quality, and reduction in glucosinolates content in the seed, which are the main anti-nutritional substances present in camelina. We also report the latest advances in utilising classical plant breeding, transgenic approaches, and CRISPR-Cas9 genome-editing.
近年来,由于与农业生产可持续性相关的环境问题,人们对新型作物重新产生了兴趣。特别是一种属于十字花科的覆盖作物——亚麻荠(Camelina sativa (L.) Crantz),因其若干优良特性而吸引了科学界的关注。它与模式物种拟南芥相关,从其种子中提取的油可用于食品、饲料或生物燃料生产等工业用途。从农艺学角度来看,它能在几乎没有投入或投入极少的边际土地上生长,并且对油菜最重要的病原体具有实际抗性。尽管过去曾种植过,尤其是在北欧和意大利,但在上个世纪它被弃种了。因此,针对这种植物的育种工作开展得很少,这也是由于这种六倍体物种存在的遗传变异性较低。在这篇综述中,我们总结了关于这种作物的主要研究工作,重点关注以三个主要目标进行的遗传改良:产量、种子含油量和品质,以及降低种子中的硫代葡萄糖苷含量,硫代葡萄糖苷是亚麻荠中主要的抗营养物质。我们还报告了在利用传统植物育种、转基因方法和CRISPR - Cas9基因组编辑方面的最新进展。