Center for Bioinformatics, Colorado State University, Fort Collins, CO 80525, USA.
BMC Genomics. 2011 Mar 17;12:153. doi: 10.1186/1471-2164-12-153.
Aedes aegypti is arguably the most studied of all mosquito species in the laboratory and is the primary vector of both Dengue and Yellow Fever flaviviruses in the field. A large number of transcriptional studies have been made in the species and these usually report transcript quantities observed at a certain age or stage of development. However, circadian oscillation is an important characteristic of gene expression in many animals and plants, modulating both their physiology and behavior. Circadian gene expression in mosquito species has been previously reported but for only a few genes directly involved in the function of the molecular clock.
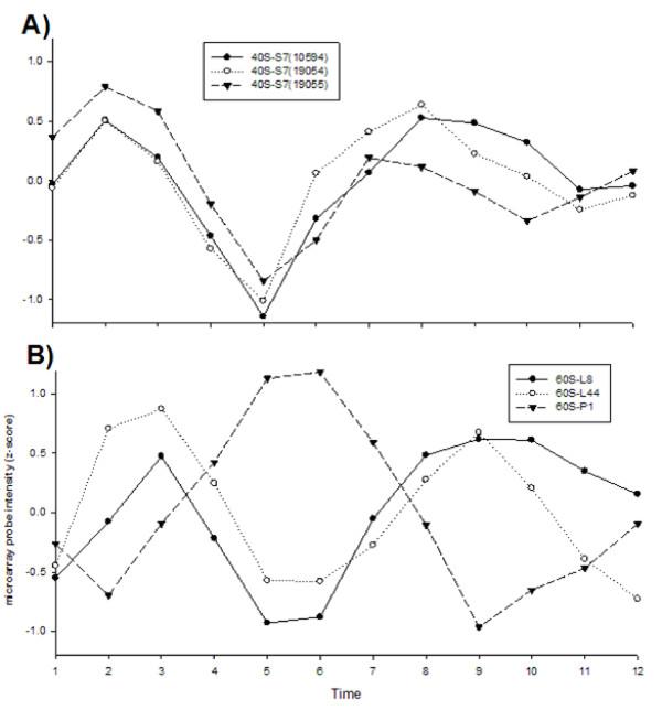
Herein we analyze the transcription profiles of 21,494 messenger RNAs using an Ae. aegypti Agilent® microarray. Transcripts were quantified in adult female heads at 24 hours and then again at 72 hours and eight subsequent time points spaced four hours apart. We document circadian rhythms in multiple molecular pathways essential for growth, development, immune response, detoxification/pesticide resistance. Circadian rhythms were also noted in ribosomal protein genes used for normalization in reverse transcribed PCR (RT-PCR) to determine transcript abundance. We report pervasive oscillations and intricate synchronization patterns relevant to all known biological pathways.
These results argue strongly that transcriptional analyses either need to be made over time periods rather than confining analyses to a single time point or development stage or exceptional care needs to be made to synchronize all mosquitoes to be analyzed and compared among treatment groups.
埃及伊蚊无疑是实验室中研究最多的蚊子物种,也是野外登革热和黄热病黄病毒的主要传播媒介。该物种进行了大量的转录研究,这些研究通常报告在特定年龄或发育阶段观察到的转录物数量。然而,昼夜节律是许多动植物基因表达的一个重要特征,调节它们的生理和行为。蚊子物种的昼夜节律基因表达以前有过报道,但只涉及分子钟功能的少数几个基因。
本文使用埃及伊蚊 Agilent®微阵列分析了 21494 个信使 RNA 的转录谱。在 24 小时和 72 小时后以及随后每隔四个小时的八个后续时间点定量成年雌性头部的转录物。我们记录了与生长、发育、免疫反应、解毒/抗药性至关重要的多个分子途径的昼夜节律。核糖体蛋白基因的昼夜节律也被记录下来,用于反转录聚合酶链反应(RT-PCR)来确定转录物丰度的标准化。我们报告了普遍的波动和与所有已知生物学途径相关的复杂同步模式。
这些结果强烈表明,转录分析要么需要在一段时间内进行,而不是将分析局限于单个时间点或发育阶段,要么需要特别注意使所有蚊子同步化,以便在处理组之间进行分析和比较。