Suppr超能文献

用于鉴定小麦背景下黑麦J、J和St亚基因组的序列标签位点标记集的开发

Development of Sequence-Tagged Site Marker Set for Identification of J, J, and St Sub-genomes of in Wheat Background.

作者信息

Qiao Linyi, Liu Shujuan, Li Jianbo, Li Shijiao, Yu Zhihui, Liu Cheng, Li Xin, Liu Jing, Ren Yongkang, Zhang Peng, Zhang Xiaojun, Yang Zujun, Chang Zhijian

机构信息

College of Agriculture, Shanxi Agricultural University, Taiyuan, China.

Department of Plant Science, College of Agronomy, Northwest Agriculture & Forestry University, Yangling, China.

出版信息

Front Plant Sci. 2021 Jun 23;12:685216. doi: 10.3389/fpls.2021.685216. eCollection 2021.

Abstract

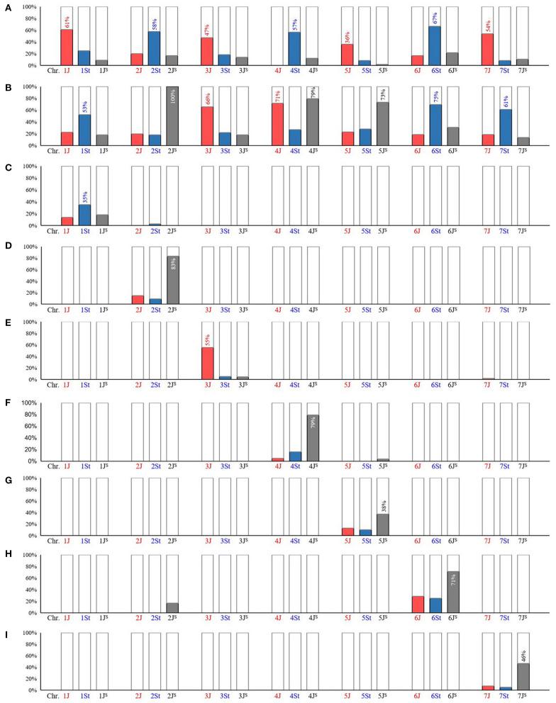
(2 = 6 = 42, JJJJStSt) is one of the important resources for the wheat improvement. So far, a few ()-specific molecular markers have been reported, but the number is far from enough to meet the need of identifying alien fragments in wheat- hybrids. In this study, 5,877,409 contigs were assembled using the genotyping-by-sequencing (GBS) data. We obtained 5,452 non-redundant contigs containing mapped -GBS markers with less than 20% similarity to the wheat genome and developed 2,019 sequence-tagged site (STS) molecular markers. Among the markers designed, 745 -specific markers with amplification products in but not in eight wheat landraces were further selected. The distribution of these markers in different homologous groups of varied from 47 (7/12/28 on 6J/6St/6J) to 183 (54/62/67 on 7J/7St/7J). Furthermore, the effectiveness of these -specific markers was verified using wheat- partial amphidiploids, addition lines, substitution lines, and translocation lines. Markers developed in this study provide a convenient, rapid, reliable, and economical method for identifying chromosomes in wheat. In addition, this set of -specific markers can also be used to estimate genetic and physical locations of chromatin in the introgression lines, thus providing valuable information for follow-up studies such as alien gene mining.

摘要

(2 = 6 = 42,JJJJStSt)是小麦改良的重要资源之一。到目前为止,已经报道了一些()特异性分子标记,但数量远远不足以满足鉴定小麦杂种中外源片段的需求。在本研究中,利用简化基因组测序(GBS)数据组装了5,877,409个重叠群。我们获得了5,452个非冗余重叠群,其中包含与小麦基因组相似度低于20%的已定位-GBS标记,并开发了2,019个序列标签位点(STS)分子标记。在设计的标记中,进一步筛选出745个在()中有扩增产物但在8个小麦地方品种中没有的特异性标记。这些标记在()不同同源群中的分布从47(6J/6St/6J上的7/12/28)到183(7J/7St/7J上的54/62/67)不等。此外,利用小麦部分双二倍体、附加系、代换系和易位系验证了这些特异性标记的有效性。本研究中开发的标记为鉴定小麦中的()染色体提供了一种方便、快速、可靠且经济的方法。此外,这组特异性标记还可用于估计渐渗系中()染色质的遗传和物理位置,从而为后续的外源基因挖掘等研究提供有价值的信息。

https://cdn.ncbi.nlm.nih.gov/pmc/blobs/ac65/8261300/89e1c8d5cbc2/fpls-12-685216-g0001.jpg

文献AI研究员

20分钟写一篇综述,助力文献阅读效率提升50倍。

立即体验

用中文搜PubMed

大模型驱动的PubMed中文搜索引擎

马上搜索

文档翻译

学术文献翻译模型,支持多种主流文档格式。

立即体验