• 文献检索
  • 文档翻译
  • 深度研究
  • 学术资讯
  • Suppr Zotero 插件Zotero 插件
  • 邀请有礼
  • 套餐&价格
  • 历史记录
应用&插件
Suppr Zotero 插件Zotero 插件浏览器插件Mac 客户端Windows 客户端微信小程序
定价
高级版会员购买积分包购买API积分包
服务
文献检索文档翻译深度研究API 文档MCP 服务
关于我们
关于 Suppr公司介绍联系我们用户协议隐私条款
关注我们

Suppr 超能文献

核心技术专利:CN118964589B侵权必究
粤ICP备2023148730 号-1Suppr @ 2026

文献检索

告别复杂PubMed语法,用中文像聊天一样搜索,搜遍4000万医学文献。AI智能推荐,让科研检索更轻松。

立即免费搜索

文件翻译

保留排版,准确专业,支持PDF/Word/PPT等文件格式,支持 12+语言互译。

免费翻译文档

深度研究

AI帮你快速写综述,25分钟生成高质量综述,智能提取关键信息,辅助科研写作。

立即免费体验

海洋蓝细菌 sp. 色素提取物的美容潜力

Cosmetic Potential of Pigments Extracts from the Marine Cyanobacterium sp.

机构信息

CIIMAR/CIMAR-LA-Interdisciplinary Centre of Marine and Environmental Research, University of Porto, Novo Edifício do Terminal de Cruzeiros de Leixões, Avenida General Norton de Matos, s/n, 4450-208 Matosinhos, Portugal.

FCUP-Faculty of Science, University of Porto, Rua do Campo Alegre, s/n, 4169-007 Porto, Portugal.

出版信息

Mar Drugs. 2022 Jul 27;20(8):481. doi: 10.3390/md20080481.

DOI:10.3390/md20080481
PMID:36005483
原文链接:https://pmc.ncbi.nlm.nih.gov/articles/PMC9409843/
Abstract

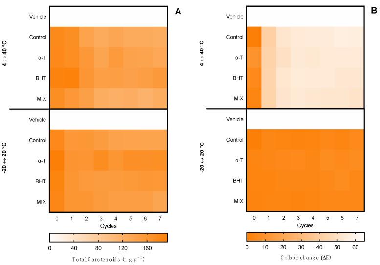
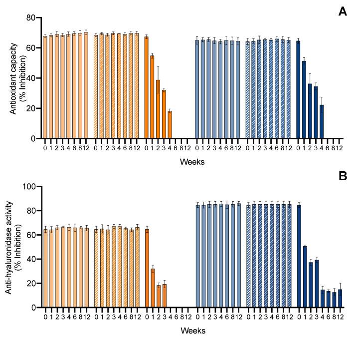
The current mindset in the cosmetics market about sustainable ingredients had increased the search for new sources of natural active ingredients. Cyanobacteria are a great source of functional ingredients for cosmetics, as a producer of pigments with described bioactive potential (carotenoids and phycobiliproteins). This work aimed to evaluate the cosmetic potential of marine cyanobacterium sp. pigment-targeted extracts (carotenoids and phycobiliproteins), evaluating their in vitro safety through cytotoxicity assays, cosmetic-related enzyme inhibition, ingredient stability, and putative product (serum formulation). Results showed no cytotoxicity from the extracts in skin-related cell lines. Carotenoid extract showed anti-hyaluronidase capacity (IC = 108.74 ± 5.74 mg mL) and phycobiliprotein extract showed anti-hyaluronidase and anti-collagenase capacity (IC = 67.25 ± 1.18 and 582.82 ± 56.99 mg mL, respectively). Regarding ingredient and serum stability, both ingredients showed higher stability at low-temperature conditions, and it was possible to maintain the pigment content and bioactive capacity stable during the tested period, although in higher temperatures the product was degraded in a week. As a major conclusion, both extracts can be potential natural and sustainable ingredients for cosmetic uses, with relatively simple formulation and storage, and can be promising natural anti-aging ingredients due to their bioactive capacity.

摘要

当前,化妆品市场对可持续成分的观念有所转变,这增加了对天然活性成分新来源的探索。蓝细菌是功能性化妆品成分的重要来源,因为它是具有描述生物活性潜力的色素(类胡萝卜素和藻胆蛋白)的生产者。本工作旨在评估海洋蓝细菌 sp. 色素靶向提取物(类胡萝卜素和藻胆蛋白)的化妆品潜力,通过细胞毒性测定、与化妆品相关的酶抑制、成分稳定性和潜在产品(血清配方)评估其体外安全性。结果表明,提取物对皮肤相关细胞系无细胞毒性。类胡萝卜素提取物具有透明质酸酶抑制能力(IC = 108.74 ± 5.74 mg mL),藻胆蛋白提取物具有透明质酸酶和胶原酶抑制能力(IC = 67.25 ± 1.18 和 582.82 ± 56.99 mg mL,分别)。关于成分和血清稳定性,两种成分在低温条件下稳定性更高,并且在测试期间可以保持色素含量和生物活性稳定,尽管在较高温度下,该产品在一周内被降解。总之,两种提取物都可以作为天然、可持续的化妆品成分,具有相对简单的配方和储存方式,并且由于其生物活性,它们可能是有前途的天然抗衰老成分。

https://cdn.ncbi.nlm.nih.gov/pmc/blobs/3e19/9409843/cd3918c50e78/marinedrugs-20-00481-g010.jpg
https://cdn.ncbi.nlm.nih.gov/pmc/blobs/3e19/9409843/ac6c2a61e840/marinedrugs-20-00481-g001.jpg
https://cdn.ncbi.nlm.nih.gov/pmc/blobs/3e19/9409843/2ab0a0242d2d/marinedrugs-20-00481-g002.jpg
https://cdn.ncbi.nlm.nih.gov/pmc/blobs/3e19/9409843/9d4c36d5a608/marinedrugs-20-00481-g003.jpg
https://cdn.ncbi.nlm.nih.gov/pmc/blobs/3e19/9409843/4bbbb876a6df/marinedrugs-20-00481-g004.jpg
https://cdn.ncbi.nlm.nih.gov/pmc/blobs/3e19/9409843/d936ea227983/marinedrugs-20-00481-g005.jpg
https://cdn.ncbi.nlm.nih.gov/pmc/blobs/3e19/9409843/407a8b1bf7bb/marinedrugs-20-00481-g006.jpg
https://cdn.ncbi.nlm.nih.gov/pmc/blobs/3e19/9409843/4e5179cd5181/marinedrugs-20-00481-g007.jpg
https://cdn.ncbi.nlm.nih.gov/pmc/blobs/3e19/9409843/754dc53fbef4/marinedrugs-20-00481-g008.jpg
https://cdn.ncbi.nlm.nih.gov/pmc/blobs/3e19/9409843/04a1045b45e0/marinedrugs-20-00481-g009.jpg
https://cdn.ncbi.nlm.nih.gov/pmc/blobs/3e19/9409843/cd3918c50e78/marinedrugs-20-00481-g010.jpg
https://cdn.ncbi.nlm.nih.gov/pmc/blobs/3e19/9409843/ac6c2a61e840/marinedrugs-20-00481-g001.jpg
https://cdn.ncbi.nlm.nih.gov/pmc/blobs/3e19/9409843/2ab0a0242d2d/marinedrugs-20-00481-g002.jpg
https://cdn.ncbi.nlm.nih.gov/pmc/blobs/3e19/9409843/9d4c36d5a608/marinedrugs-20-00481-g003.jpg
https://cdn.ncbi.nlm.nih.gov/pmc/blobs/3e19/9409843/4bbbb876a6df/marinedrugs-20-00481-g004.jpg
https://cdn.ncbi.nlm.nih.gov/pmc/blobs/3e19/9409843/d936ea227983/marinedrugs-20-00481-g005.jpg
https://cdn.ncbi.nlm.nih.gov/pmc/blobs/3e19/9409843/407a8b1bf7bb/marinedrugs-20-00481-g006.jpg
https://cdn.ncbi.nlm.nih.gov/pmc/blobs/3e19/9409843/4e5179cd5181/marinedrugs-20-00481-g007.jpg
https://cdn.ncbi.nlm.nih.gov/pmc/blobs/3e19/9409843/754dc53fbef4/marinedrugs-20-00481-g008.jpg
https://cdn.ncbi.nlm.nih.gov/pmc/blobs/3e19/9409843/04a1045b45e0/marinedrugs-20-00481-g009.jpg
https://cdn.ncbi.nlm.nih.gov/pmc/blobs/3e19/9409843/cd3918c50e78/marinedrugs-20-00481-g010.jpg

相似文献

1
Cosmetic Potential of Pigments Extracts from the Marine Cyanobacterium sp.海洋蓝细菌 sp. 色素提取物的美容潜力
Mar Drugs. 2022 Jul 27;20(8):481. doi: 10.3390/md20080481.
2
Cosmetic Application of Cyanobacteria Extracts with a Sustainable Vision to Skincare: Role in the Antioxidant and Antiaging Process.具有可持续发展愿景的蓝藻提取物在化妆品中的应用:在抗氧化和抗衰老过程中的作用。
Mar Drugs. 2022 Dec 2;20(12):761. doi: 10.3390/md20120761.
3
Exploitation of Filamentous and Picoplanktonic Cyanobacteria for Cosmetic Applications: Potential to Improve Skin Structure and Preserve Dermal Matrix Components.丝状和微微型蓝藻在化妆品中的应用:改善皮肤结构和保护真皮基质成分的潜力。
Mar Drugs. 2020 Sep 22;18(9):486. doi: 10.3390/md18090486.
4
(Bio)Technological aspects of microalgae pigments for cosmetics.微藻色素在化妆品方面的(生物)技术问题。
Appl Microbiol Biotechnol. 2020 Nov;104(22):9513-9522. doi: 10.1007/s00253-020-10936-x. Epub 2020 Oct 5.
5
Continuous pressurized extraction versus electric fields-assisted extraction of cyanobacterial pigments.连续加压萃取与电场辅助萃取蓝藻色素。
J Biotechnol. 2021 Jun 20;334:35-42. doi: 10.1016/j.jbiotec.2021.05.004. Epub 2021 May 21.
6
Cyanobacteria Secondary Metabolites as Biotechnological Ingredients in Natural Anti-Aging Cosmetics: Potential to Overcome Hyperpigmentation, Loss of Skin Density and UV Radiation-Deleterious Effects.蓝藻次生代谢产物作为天然抗衰老化妆品中的生物技术成分:克服色素沉着过度、皮肤密度丧失和紫外线辐射有害影响的潜力。
Mar Drugs. 2022 Mar 1;20(3):183. doi: 10.3390/md20030183.
7
Potential Cosmetic Active Ingredients Derived from Marine By-Products.源自海洋副产物的潜在化妆品活性成分。
Mar Drugs. 2022 Nov 24;20(12):734. doi: 10.3390/md20120734.
8
Antioxidant and Cytoprotective Properties of Plant Extract from Dry Flowers as Functional Dyes for Cosmetic Products.植物干花提取物的抗氧化和细胞保护特性——作为化妆品的功能性染料。
Molecules. 2021 May 10;26(9):2809. doi: 10.3390/molecules26092809.
9
Valuable pigments from microalgae: phycobiliproteins, primary carotenoids, and fucoxanthin.微藻中的有价值色素:藻胆蛋白、类胡萝卜素和岩藻黄质。
Photochem Photobiol Sci. 2023 Aug;22(8):1733-1789. doi: 10.1007/s43630-023-00407-3. Epub 2023 Apr 10.
10
Cyanobacterial pigments: Perspectives and biotechnological approaches.蓝藻色素:前景与生物技术方法。
Food Chem Toxicol. 2018 Oct;120:616-624. doi: 10.1016/j.fct.2018.08.002. Epub 2018 Aug 2.

引用本文的文献

1
Comprehensive Review of the Latest Investigations of the Health-Enhancing Effects of Selected Properties of and Microalgae on Skin.对特定微藻特性对皮肤健康促进作用的最新研究综述
Pharmaceuticals (Basel). 2024 Oct 3;17(10):1321. doi: 10.3390/ph17101321.
2
Optimized carotenoid production and antioxidant capacity of .优化. 的类胡萝卜素生产和抗氧化能力。
Sci Prog. 2024 Apr-Jun;107(2):368504241253695. doi: 10.1177/00368504241253695.
3
Recent Reports on Bioactive Compounds from Marine Cyanobacteria in Relation to Human Health Applications.

本文引用的文献

1
Cyanobacteria and microalgae bioactive compounds in skin-ageing: potential to restore extracellular matrix filling and overcome hyperpigmentation.皮肤老化中的蓝细菌和微藻生物活性化合物:恢复细胞外基质填充和克服色素沉着过度的潜力。
J Enzyme Inhib Med Chem. 2021 Dec;36(1):1829-1838. doi: 10.1080/14756366.2021.1960830.
2
Carotenoids from Cyanobacteria: Biotechnological Potential and Optimization Strategies.蓝藻中的类胡萝卜素:生物技术潜力与优化策略。
Biomolecules. 2021 May 15;11(5):735. doi: 10.3390/biom11050735.
3
Evaluation of Ionic Liquids and Ionic Liquids Active Pharmaceutical Ingredients Inhibition in Elastase Enzyme Activity.
近期关于海洋蓝藻生物活性化合物在人类健康应用方面的报告。
Life (Basel). 2023 Jun 19;13(6):1411. doi: 10.3390/life13061411.
4
Marine Natural Products as Innovative Cosmetic Ingredients.海洋天然产物——创新化妆品成分
Mar Drugs. 2023 Mar 8;21(3):170. doi: 10.3390/md21030170.
5
Cosmetic Application of Cyanobacteria Extracts with a Sustainable Vision to Skincare: Role in the Antioxidant and Antiaging Process.具有可持续发展愿景的蓝藻提取物在化妆品中的应用:在抗氧化和抗衰老过程中的作用。
Mar Drugs. 2022 Dec 2;20(12):761. doi: 10.3390/md20120761.
评价离子液体和离子液体活性药物成分对弹性蛋白酶酶活性的抑制作用。
Molecules. 2021 Jan 2;26(1):200. doi: 10.3390/molecules26010200.
4
Screening the dermatological potential of species components: antioxidant and inhibitory capacities over elastase, collagenase and tyrosinase.筛选物种成分的皮肤学潜力:对弹性蛋白酶、胶原酶和酪氨酸酶的抗氧化及抑制能力。
J Enzyme Inhib Med Chem. 2021 Dec;36(1):257-269. doi: 10.1080/14756366.2020.1862099.
5
Exploitation of Filamentous and Picoplanktonic Cyanobacteria for Cosmetic Applications: Potential to Improve Skin Structure and Preserve Dermal Matrix Components.丝状和微微型蓝藻在化妆品中的应用:改善皮肤结构和保护真皮基质成分的潜力。
Mar Drugs. 2020 Sep 22;18(9):486. doi: 10.3390/md18090486.
6
White and red LEDs as two-phase batch for cyanobacterial pigments production.白光和红光 LED 作为两相分批培养用于蓝藻色素生产。
Bioresour Technol. 2020 Jul;307:123105. doi: 10.1016/j.biortech.2020.123105. Epub 2020 Feb 29.
7
Cyanotoxins Occurrence in Portugal: A New Report on Their Recent Multiplication.葡萄牙的蓝藻毒素:近期其大量繁殖的新报告。
Toxins (Basel). 2020 Feb 29;12(3):154. doi: 10.3390/toxins12030154.
8
Applications of Tea () and its Active Constituents in Cosmetics.茶及其活性成分在化妆品中的应用。
Molecules. 2019 Nov 24;24(23):4277. doi: 10.3390/molecules24234277.
9
A natural skin anti-ageing serum containing pseudobulb ethanolic extract of Grammatophyllum speciosum: a randomized double-blind, placebo-controlled trial.一种含有 Grammatophyllum speciosum 假鳞茎乙醇提取物的天然皮肤抗衰老精华素:一项随机、双盲、安慰剂对照试验。
Int J Cosmet Sci. 2019 Dec;41(6):548-557. doi: 10.1111/ics.12571.
10
Natural Products from Cyanobacteria: Focus on Beneficial Activities.蓝藻中的天然产物:关注有益活性。
Mar Drugs. 2019 May 30;17(6):320. doi: 10.3390/md17060320.