Suppr超能文献

超高效液相色谱- LTQ - Orbitrap质谱联用技术在何首乌及其炮制品定性定量分析中的应用

Application of Ultra-High-Performance Liquid Chromatography Coupled with LTQ-Orbitrap Mass Spectrometry for the Qualitative and Quantitative Analysis of Polygonum multiflorum Thumb. and Its Processed Products.

作者信息

Wang Teng-Hua, Zhang Jing, Qiu Xiao-Hui, Bai Jun-Qi, Gao You-Heng, Xu Wen

机构信息

Lab of Chinese Materia Medica Preparation, the Second College of Clinic Medicine, Guangzhou University of Chinese Medicine; Guangdong Province Institute of TCM, Guangzhou 510006, China.

School of Chinese Materia Medica, Guangzhou University of Chinese Medicine, Guangzhou 510006, China.

出版信息

Molecules. 2015 Dec 26;21(1):E40. doi: 10.3390/molecules21010040.

Abstract

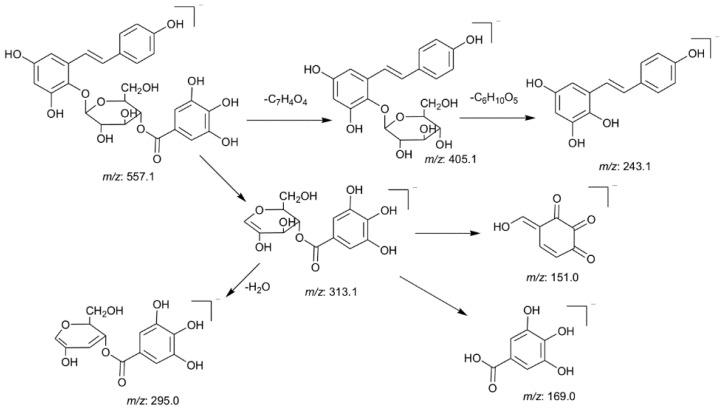
In order to quickly and simultaneously obtain the chemical profiles and control the quality of the root of Polygonum multiflorum Thumb. and its processed form, a rapid qualitative and quantitative method, using ultra-high-performance liquid chromatography coupled with electrospray ionization-linear ion trap-Orbitrap hybrid mass spectrometry (UHPLC-LTQ-Orbitrap MS(n)) has been developed. The analysis was performed within 10 min on an AcQuity UPLC™ BEH C18 column with a gradient elution of 0.1% formic acid-acetonitrile at flow rate of 400 μL/min. According to the fragmentation mechanism and high resolution MS(n) data, a diagnostic ion searching strategy was used for rapid and tentative identification of main phenolic components and 23 compounds were simultaneously identified or tentatively characterized. The difference in chemical profiles between P. multiflorum and its processed preparation were observed by comparing the ions abundances of main constituents in the MS spectra and significant changes of eight metabolite biomarkers were detected in the P. multiflorum samples and their preparations. In addition, four of the representative phenols, namely gallic acid, trans-2,3,5,4'-tetra-hydroxystilbene-2-O-β-d-glucopyranoside, emodin and emodin-8-O-β-d-glucopyranoside were quantified by the validated UHPLC-MS/MS method. These phenols are considered to be major bioactive constituents in P. multiflorum, and are generally regarded as the index for quality assessment of this herb. The method was successfully used to quantify 10 batches of P. multiflorum and 10 batches of processed P. multiflorum. The results demonstrated that the method is simple, rapid, and suitable for the discrimination and quality control of this traditional Chinese herb.

摘要

为了快速同时获得何首乌及其炮制品的化学轮廓并控制其质量,已开发出一种使用超高效液相色谱-电喷雾电离-线性离子阱-轨道阱串联质谱联用技术(UHPLC-LTQ-Orbitrap MS(n))的快速定性定量方法。分析在AcQuity UPLC™ BEH C18柱上10分钟内完成,以0.1%甲酸-乙腈进行梯度洗脱,流速为400μL/min。根据裂解机理和高分辨率MS(n)数据,采用诊断离子搜索策略快速初步鉴定主要酚类成分,同时鉴定或初步表征了23种化合物。通过比较质谱图中主要成分的离子丰度,观察到何首乌及其炮制品化学轮廓的差异,并在何首乌样品及其炮制品中检测到8种代谢物生物标志物的显著变化。此外,采用经过验证的UHPLC-MS/MS方法对4种代表性酚类,即没食子酸、反式-2,3,5,4'-四羟基二苯乙烯-2-O-β-D-葡萄糖苷、大黄素和大黄素-8-O-β-D-葡萄糖苷进行定量。这些酚类被认为是何首乌中的主要生物活性成分,通常被视为该药材质量评价的指标。该方法成功用于10批何首乌和10批何首乌炮制品的定量分析。结果表明该方法简便、快速,适用于这种传统中药的鉴别和质量控制。

https://cdn.ncbi.nlm.nih.gov/pmc/blobs/9630/6272829/9575d51a7e03/molecules-21-00040-g001.jpg

文献AI研究员

20分钟写一篇综述,助力文献阅读效率提升50倍。

立即体验

用中文搜PubMed

大模型驱动的PubMed中文搜索引擎

马上搜索

文档翻译

学术文献翻译模型,支持多种主流文档格式。

立即体验