• 文献检索
  • 文档翻译
  • 深度研究
  • 学术资讯
  • Suppr Zotero 插件Zotero 插件
  • 邀请有礼
  • 套餐&价格
  • 历史记录
应用&插件
Suppr Zotero 插件Zotero 插件浏览器插件Mac 客户端Windows 客户端微信小程序
定价
高级版会员购买积分包购买API积分包
服务
文献检索文档翻译深度研究API 文档MCP 服务
关于我们
关于 Suppr公司介绍联系我们用户协议隐私条款
关注我们

Suppr 超能文献

核心技术专利:CN118964589B侵权必究
粤ICP备2023148730 号-1Suppr @ 2026

文献检索

告别复杂PubMed语法,用中文像聊天一样搜索,搜遍4000万医学文献。AI智能推荐,让科研检索更轻松。

立即免费搜索

文件翻译

保留排版,准确专业,支持PDF/Word/PPT等文件格式,支持 12+语言互译。

免费翻译文档

深度研究

AI帮你快速写综述,25分钟生成高质量综述,智能提取关键信息,辅助科研写作。

立即免费体验

每5天进行一次高强度间歇训练(HIIT),可提高终身久坐的老年男性的肌肉力量,但对静态平衡无改善:一项随机对照试验。

One session of high-intensity interval training (HIIT) every 5 days, improves muscle power but not static balance in lifelong sedentary ageing men: A randomized controlled trial.

作者信息

Sculthorpe Nicholas F, Herbert Peter, Grace Fergal

机构信息

Institute of Clinical Exercise & Health Sciences, School of Science and Sport, University of the West of Scotland, Hamilton, South Lanarkshire, Scotland, UK University of Wales Trinity Saint David, Camarthen Campus, Camarthen, Wales, UK Faculty of Health, Federation University Australia, Mt Helen Campus, Mt Helen, Victoria, Australia.

出版信息

Medicine (Baltimore). 2017 Feb;96(6):e6040. doi: 10.1097/MD.0000000000006040.

DOI:10.1097/MD.0000000000006040
PMID:28178145
原文链接:https://pmc.ncbi.nlm.nih.gov/articles/PMC5313002/
Abstract

BACKGROUND

Declining muscle power during advancing age predicts falls and loss of independence. High-intensity interval training (HIIT) may improve muscle power, but remains largely unstudied in ageing participants.

METHODS

This randomized controlled trial (RCT) investigated the efficacy of a low-frequency HIIT (LfHIIT) intervention on peak muscle power (peak power output [PPO]), body composition, and balance in lifelong sedentary but otherwise healthy males.

METHODS

Thirty-three lifelong sedentary ageing men were randomly assigned to either intervention (INT; n = 22, age 62.3 ± 4.1 years) or control (n = 11, age 61.6 ± 5.0 years) who were both assessed at 3 distinct measurement points (phase A), after 6 weeks of conditioning exercise (phase B), and after 6 weeks of HIIT once every 5 days in INT (phase C), where control remained inactive throughout the study.

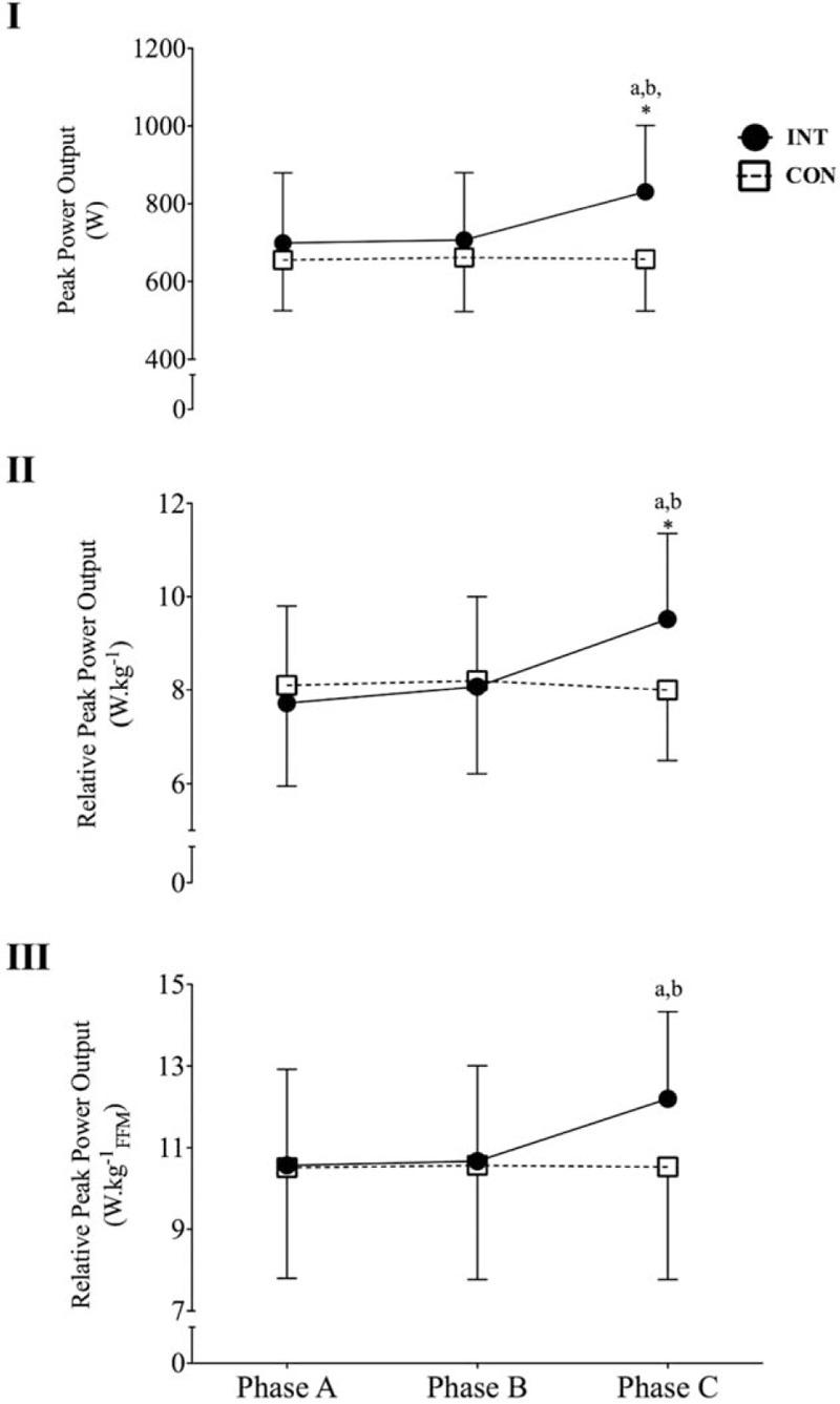
RESULTS

Static balance remained unaffected, and both absolute and relative PPO were not different between groups at phases A or B, but increased significantly in INT after LfHIIT (P < 0.01). Lean body mass displayed a significant interaction (P < 0.01) due to an increase in INT between phases B and C (P < 0.05).

CONCLUSIONS

6 weeks of LfHIIT exercise feasible and effective method to induce clinically relevant improvements in absolute and relative PPO, but does not improve static balance in sedentary ageing men.

摘要

背景

随着年龄增长,肌肉力量下降预示着跌倒和失去独立生活能力。高强度间歇训练(HIIT)可能会改善肌肉力量,但在老年参与者中仍未得到充分研究。

方法

这项随机对照试验(RCT)研究了低频HIIT(LfHIIT)干预对终生久坐但身体健康的男性的峰值肌肉力量(峰值功率输出[PPO])、身体成分和平衡能力的影响。

方法

33名终生久坐的老年男性被随机分为干预组(INT;n = 22,年龄62.3±4.1岁)或对照组(n = 11,年龄61.6±5.0岁),两组均在3个不同测量点(A阶段)、6周的适应性锻炼后(B阶段)以及INT组每5天进行一次HIIT锻炼6周后(C阶段)进行评估,对照组在整个研究过程中保持不活动状态。

结果

静态平衡未受影响,在A阶段或B阶段,两组之间的绝对和相对PPO没有差异,但INT组在进行LfHIIT后显著增加(P < 0.01)。由于INT组在B阶段和C阶段之间有所增加(P < 0.05),瘦体重显示出显著的交互作用(P < 0.01)。

结论

6周的LfHIIT锻炼是一种可行且有效的方法,可在临床上显著改善绝对和相对PPO,但不能改善久坐老年男性的静态平衡。

https://cdn.ncbi.nlm.nih.gov/pmc/blobs/c70e/5313002/08345482be09/medi-96-e6040-g007.jpg
https://cdn.ncbi.nlm.nih.gov/pmc/blobs/c70e/5313002/e677d35eb5aa/medi-96-e6040-g002.jpg
https://cdn.ncbi.nlm.nih.gov/pmc/blobs/c70e/5313002/45c16c48a0d6/medi-96-e6040-g004.jpg
https://cdn.ncbi.nlm.nih.gov/pmc/blobs/c70e/5313002/60d332ec7f8b/medi-96-e6040-g006.jpg
https://cdn.ncbi.nlm.nih.gov/pmc/blobs/c70e/5313002/08345482be09/medi-96-e6040-g007.jpg
https://cdn.ncbi.nlm.nih.gov/pmc/blobs/c70e/5313002/e677d35eb5aa/medi-96-e6040-g002.jpg
https://cdn.ncbi.nlm.nih.gov/pmc/blobs/c70e/5313002/45c16c48a0d6/medi-96-e6040-g004.jpg
https://cdn.ncbi.nlm.nih.gov/pmc/blobs/c70e/5313002/60d332ec7f8b/medi-96-e6040-g006.jpg
https://cdn.ncbi.nlm.nih.gov/pmc/blobs/c70e/5313002/08345482be09/medi-96-e6040-g007.jpg

相似文献

1
One session of high-intensity interval training (HIIT) every 5 days, improves muscle power but not static balance in lifelong sedentary ageing men: A randomized controlled trial.每5天进行一次高强度间歇训练(HIIT),可提高终身久坐的老年男性的肌肉力量,但对静态平衡无改善:一项随机对照试验。
Medicine (Baltimore). 2017 Feb;96(6):e6040. doi: 10.1097/MD.0000000000006040.
2
Age related vascular endothelial function following lifelong sedentariness: positive impact of cardiovascular conditioning without further improvement following low frequency high intensity interval training.终生久坐后与年龄相关的血管内皮功能:心血管调节的积极影响以及低频高强度间歇训练后无进一步改善
Physiol Rep. 2015 Jan 27;3(1). doi: 10.14814/phy2.12234. Print 2015 Jan 1.
3
High intensity interval training (HIIT) improves resting blood pressure, metabolic (MET) capacity and heart rate reserve without compromising cardiac function in sedentary aging men.高强度间歇训练(HIIT)可改善静息血压、代谢(MET)能力和心率储备,而不会损害久坐老年男性的心脏功能。
Exp Gerontol. 2018 Aug;109:75-81. doi: 10.1016/j.exger.2017.05.010. Epub 2017 May 13.
4
Novel all-extremity high-intensity interval training improves aerobic fitness, cardiac function and insulin resistance in healthy older adults.新型全身高强度间歇训练可改善健康老年人的有氧适能、心脏功能和胰岛素抵抗。
Exp Gerontol. 2016 Sep;82:112-9. doi: 10.1016/j.exger.2016.06.009. Epub 2016 Jun 21.
5
Effects of high-intensity interval training combined with traditional strength or power training on functionality and physical fitness in healthy older men: A randomized controlled trial.高强度间歇训练结合传统力量或体能训练对健康老年男性功能和身体素质的影响:一项随机对照试验。
Exp Gerontol. 2021 Jul 1;149:111321. doi: 10.1016/j.exger.2021.111321. Epub 2021 Mar 20.
6
Beneficial alterations in body composition, physical performance, oxidative stress, inflammatory markers, and adipocytokines induced by long-term high-intensity interval training in an aged rat model.长期高强度间歇训练在老年大鼠模型中引起的身体成分、身体机能、氧化应激、炎症标志物和脂肪细胞因子的有益改变。
Exp Gerontol. 2018 Nov;113:150-162. doi: 10.1016/j.exger.2018.10.006. Epub 2018 Oct 9.
7
Metabolic rate in sedentary adults, following different exercise training interventions: The FIT-AGEING randomized controlled trial.不同运动训练干预后久坐不动成年人的代谢率:FIT-AGEING随机对照试验
Clin Nutr. 2020 Nov;39(11):3230-3240. doi: 10.1016/j.clnu.2020.02.001. Epub 2020 Feb 8.
8
Order of same-day concurrent training influences some indices of power development, but not strength, lean mass, or aerobic fitness in healthy, moderately-active men after 9 weeks of training.同日进行的不同顺序的训练会影响健康、适度活跃的男性在 9 周训练后力量发展的某些指标,但不会影响力量、瘦体重或有氧适能。
PLoS One. 2020 May 14;15(5):e0233134. doi: 10.1371/journal.pone.0233134. eCollection 2020.
9
Effectiveness of High-Intensity Interval Training for Fitness and Mobility Post Stroke: A Systematic Review.高强度间歇训练对脑卒中后身体机能和活动能力的影响:系统评价。
PM R. 2019 Aug;11(8):868-878. doi: 10.1002/pmrj.12154. Epub 2019 May 30.
10
Exercise training increases the S-Klotho plasma levels in sedentary middle-aged adults: A randomised controlled trial. The FIT-AGEING study.运动训练可增加久坐中年成年人的 S-Klotho 血浆水平:一项随机对照试验。FIT-AGEING 研究。
J Sports Sci. 2019 Oct;37(19):2175-2183. doi: 10.1080/02640414.2019.1626048. Epub 2019 Jun 4.

引用本文的文献

1
Customizing intense interval exercise training prescription using the "frequency, intensity, time, and type of exercise" (FITT) principle.运用“运动频率、强度、时间和类型”(FITT)原则定制高强度间歇运动训练方案。
Front Physiol. 2025 Apr 3;16:1553846. doi: 10.3389/fphys.2025.1553846. eCollection 2025.
2
Effects of controlled supramaximal high-intensity interval training on muscle capacities and physical functions for older adults: analysis of secondary outcomes from the Umeå HIT study-a randomised controlled trial.控制超最大强度间歇训练对老年人肌肉能力和身体功能的影响:乌默奥高强度间歇训练研究(一项随机对照试验)的次要结局分析。
Age Ageing. 2024 Oct 1;53(10). doi: 10.1093/ageing/afae226.
3

本文引用的文献

1
High-intensity interval training (HIIT) increases insulin-like growth factor-I (IGF-I) in sedentary aging men but not masters' athletes: an observational study.高强度间歇训练(HIIT)可增加久坐不动的老年男性体内的胰岛素样生长因子-I(IGF-I),但对成年运动员无效:一项观察性研究。
Aging Male. 2017 Mar;20(1):54-59. doi: 10.1080/13685538.2016.1260108. Epub 2016 Dec 31.
2
Sprint interval training (SIT) is an effective method to maintain cardiorespiratory fitness (CRF) and glucose homeostasis in Scottish adolescents.短跑间歇训练(SIT)是维持苏格兰青少年心肺适能(CRF)和葡萄糖稳态的有效方法。
Biol Sport. 2015 Nov;32(4):307-13. doi: 10.5604/20831862.1173644. Epub 2015 Oct 10.
3
Effects of High-Intensity Interval Training on the Parameters Related to Physical Fitness and Health of Older Adults: A Systematic Review and Meta-Analysis.
高强度间歇训练对老年人身体素质和健康相关参数的影响:一项系统评价与荟萃分析
Sports Med Open. 2024 Sep 12;10(1):98. doi: 10.1186/s40798-024-00767-9.
4
Efficacy of Interval Training in Improving Body Composition and Adiposity in Apparently Healthy Adults: An Umbrella Review with Meta-Analysis.间歇训练对改善健康成年人身体成分和肥胖的效果:荟萃分析的伞状评价。
Sports Med. 2024 Nov;54(11):2817-2840. doi: 10.1007/s40279-024-02070-9. Epub 2024 Jul 14.
5
Effects of High-Intensity Interval Training on Muscle Strength for the Prevention and Treatment of Sarcopenia in Older Adults: A Systematic Review of the Literature.高强度间歇训练对老年人肌肉力量的影响及其在预防和治疗肌肉减少症中的作用:文献系统综述
J Clin Med. 2024 Feb 25;13(5):1299. doi: 10.3390/jcm13051299.
6
Effects of high-intensity interval training on lean mass, strength, and power of the lower limbs in healthy old and young people.高强度间歇训练对健康老年人和年轻人下肢瘦体重、力量及功率的影响。
Front Physiol. 2023 Sep 27;14:1223069. doi: 10.3389/fphys.2023.1223069. eCollection 2023.
7
Aerobically trained older adults show impaired resting, but preserved exercise-induced circulating progenitor cell count, which was not improved by sprint interval training.经过有氧运动训练的老年人在静息状态下表现出受损的情况,但运动诱导的循环祖细胞计数得到保留,而冲刺间歇训练并不能改善这种情况。
Pflugers Arch. 2023 Apr;475(4):465-475. doi: 10.1007/s00424-022-02785-6. Epub 2023 Feb 14.
8
Effect of High-Intensity Interval Training on Functional Movement in Older Adults: A Systematic Review and Meta-analysis.高强度间歇训练对老年人功能性运动的影响:一项系统评价与荟萃分析
Sports Med Open. 2023 Jan 15;9(1):5. doi: 10.1186/s40798-023-00551-1.
9
High-intensity interval training among middle-aged and older adults for body composition and muscle strength: A systematic review.高强度间歇训练对中年和老年人身体成分和肌肉力量的影响:系统评价。
Front Public Health. 2022 Sep 29;10:992706. doi: 10.3389/fpubh.2022.992706. eCollection 2022.
10
Golf and Physical Health: A Systematic Review.高尔夫与身体健康:系统评价。
Sports Med. 2022 Dec;52(12):2943-2963. doi: 10.1007/s40279-022-01732-w. Epub 2022 Aug 6.
Low-Frequency High-Intensity Interval Training is an Effective Method to Improve Muscle Power in Lifelong Sedentary Aging Men: A Randomized Controlled Trial.
低频高强度间歇训练是改善长期久坐的老年男性肌肉力量的有效方法:一项随机对照试验。
J Am Geriatr Soc. 2015 Nov;63(11):2412-3. doi: 10.1111/jgs.13863.
4
Updating ACSM's Recommendations for Exercise Preparticipation Health Screening.更新美国运动医学会的运动前健康筛查建议。
Med Sci Sports Exerc. 2015 Nov;47(11):2473-9. doi: 10.1249/MSS.0000000000000664.
5
Utility of the hypertriglyceridemic waist phenotype in the cardiometabolic risk assessment of youth stratified by body mass index.高甘油三酯血症腰围表型在按体重指数分层的青少年心血管代谢风险评估中的效用。
Pediatr Obes. 2016 Aug;11(4):292-8. doi: 10.1111/ijpo.12061. Epub 2015 Aug 7.
6
Six weeks of conditioning exercise increases total, but not free testosterone in lifelong sedentary aging men.为期六周的适应性锻炼可提高终生久坐不动的老年男性的总睾酮水平,但不会提高游离睾酮水平。
Aging Male. 2015;18(3):195-200. doi: 10.3109/13685538.2015.1046123. Epub 2015 Jun 1.
7
Exercising caution: prolonged recovery from a single session of high-intensity interval training in older men.需谨慎:老年男性单次高强度间歇训练后恢复时间延长。
J Am Geriatr Soc. 2015 Apr;63(4):817-8. doi: 10.1111/jgs.13365.
8
Impact of low-volume, high-intensity interval training on maximal aerobic capacity, health-related quality of life and motivation to exercise in ageing men.低容量、高强度间歇训练对老年男性最大有氧能力、健康相关生活质量及运动动机的影响
Age (Dordr). 2015;37(2):25. doi: 10.1007/s11357-015-9763-3. Epub 2015 Mar 14.
9
Validation of a six second cycle test for the determination of peak power output.用于测定峰值功率输出的六秒周期测试的验证
Res Sports Med. 2015;23(2):115-25. doi: 10.1080/15438627.2015.1005294. Epub 2015 Feb 27.
10
Age related vascular endothelial function following lifelong sedentariness: positive impact of cardiovascular conditioning without further improvement following low frequency high intensity interval training.终生久坐后与年龄相关的血管内皮功能:心血管调节的积极影响以及低频高强度间歇训练后无进一步改善
Physiol Rep. 2015 Jan 27;3(1). doi: 10.14814/phy2.12234. Print 2015 Jan 1.