• 文献检索
  • 文档翻译
  • 深度研究
  • 学术资讯
  • Suppr Zotero 插件Zotero 插件
  • 邀请有礼
  • 套餐&价格
  • 历史记录
应用&插件
Suppr Zotero 插件Zotero 插件浏览器插件Mac 客户端Windows 客户端微信小程序
定价
高级版会员购买积分包购买API积分包
服务
文献检索文档翻译深度研究API 文档MCP 服务
关于我们
关于 Suppr公司介绍联系我们用户协议隐私条款
关注我们

Suppr 超能文献

核心技术专利:CN118964589B侵权必究
粤ICP备2023148730 号-1Suppr @ 2026

文献检索

告别复杂PubMed语法,用中文像聊天一样搜索,搜遍4000万医学文献。AI智能推荐,让科研检索更轻松。

立即免费搜索

文件翻译

保留排版,准确专业,支持PDF/Word/PPT等文件格式,支持 12+语言互译。

免费翻译文档

深度研究

AI帮你快速写综述,25分钟生成高质量综述,智能提取关键信息,辅助科研写作。

立即免费体验

利用印度艾纳香叶提取物合成新型MgO-ZnO纳米复合材料及其生物活性研究。

Synthesis of novel MgO-ZnO nanocomposite using Pluchea indica leaf extract and study of their biological activities.

作者信息

Selim Samy, Almuhayawi Mohammed S, Saddiq Amna A, Alruhaili Mohammed H, Saied Ebrahim, Sharaf Mohamed H, Tarabulsi Muyassar K, Al Jaouni Soad K

机构信息

Department of Clinical Laboratory Sciences, College of Applied Medical Sciences, Jouf University, Sakaka, Saudi Arabia.

Department of Clinical Microbiology and Immunology, Faculty of Medicine, King Abdulaziz University, 21589, Jeddah, Saudi Arabia.

出版信息

Bioresour Bioprocess. 2025 Apr 12;12(1):33. doi: 10.1186/s40643-025-00848-x.

DOI:10.1186/s40643-025-00848-x
PMID:40220116
原文链接:https://pmc.ncbi.nlm.nih.gov/articles/PMC11993530/
Abstract

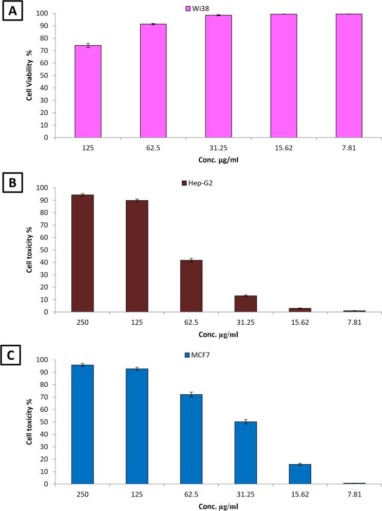
The biosynthesis of bimetallic nanoparticles using plant extracts has garnered significant attention due to their eco-friendly and cost-effective nature. This study aimed to biosynthesize magnesium oxide-zinc oxide nanocomposite (MgO-ZnO nanocomposite) using Pluchea indica leaf extract for the first time, with a focus on characterizing its physicochemical properties and evaluating its biological activities. The biosynthesized MgO-ZnO nanocomposite was fully characterized, revealing an absorbance peak at 300 nm using UV-vis spectroscopy. Transmission electron microscopy (TEM) confirmed particle stability within the size range of 5-35 nm. Cytotoxicity analysis on the Wi 38 normal cell line demonstrated an IC value of 179.13 µg/mL, indicating good biosafety. The nanocomposite exhibited potent anticancer activity, with IC values of 73.61 µg/mL and 31.25 µg/mL against Hep-G2 and MCF-7 cancer cell lines, respectively. Antibacterial assays revealed activity against Klebsiella pneumoniae, Escherichia coli, Bacillus cereus, Staphylococcus aureus, and Candida albicans, with minimum inhibitory concentrations (MICs) ranging from 31.25 to 250 µg/mL. Furthermore, the nanocomposite displayed antioxidant activity with an IC value of 175 µg/mL, as determined by the DPPH assay. In conclusion, the successful synthesis of the MgO-ZnO nanocomposite using P. indica leaf extract demonstrates its potential as a safe and effective agent for concentration-dependent antioxidants, antibacterial, and anticancer applications. This study highlights the versatility of plant-mediated biosynthesis in developing functional nanomaterials for biomedical use.

摘要

利用植物提取物生物合成双金属纳米粒子因其环保且经济高效的特性而备受关注。本研究旨在首次使用印度阔苞菊叶提取物生物合成氧化镁-氧化锌纳米复合材料(MgO-ZnO纳米复合材料),重点是表征其物理化学性质并评估其生物活性。对生物合成的MgO-ZnO纳米复合材料进行了全面表征,通过紫外-可见光谱法揭示了在300 nm处的吸收峰。透射电子显微镜(TEM)证实了粒径在5-35 nm范围内的颗粒稳定性。对Wi 38正常细胞系的细胞毒性分析表明IC值为179.13 μg/mL,表明其具有良好的生物安全性。该纳米复合材料表现出强大的抗癌活性,对Hep-G2和MCF-7癌细胞系的IC值分别为73.61 μg/mL和31.25 μg/mL。抗菌试验显示对肺炎克雷伯菌、大肠杆菌、蜡样芽孢杆菌、金黄色葡萄球菌和白色念珠菌有活性,最低抑菌浓度(MIC)范围为31.25至250 μg/mL。此外,通过DPPH测定法确定该纳米复合材料的抗氧化活性IC值为175 μg/mL。总之,使用印度阔苞菊叶提取物成功合成MgO-ZnO纳米复合材料证明了其作为浓度依赖性抗氧化剂、抗菌和抗癌应用的安全有效剂的潜力。本研究突出了植物介导的生物合成在开发用于生物医学的功能性纳米材料方面的多功能性。

https://cdn.ncbi.nlm.nih.gov/pmc/blobs/555a/11993530/9396f9e411b2/40643_2025_848_Fig8_HTML.jpg
https://cdn.ncbi.nlm.nih.gov/pmc/blobs/555a/11993530/1f98fc5a32e0/40643_2025_848_Fig1_HTML.jpg
https://cdn.ncbi.nlm.nih.gov/pmc/blobs/555a/11993530/4e6b81b7391d/40643_2025_848_Fig2_HTML.jpg
https://cdn.ncbi.nlm.nih.gov/pmc/blobs/555a/11993530/e8989e5daa79/40643_2025_848_Fig3_HTML.jpg
https://cdn.ncbi.nlm.nih.gov/pmc/blobs/555a/11993530/d9ec0205da9b/40643_2025_848_Fig4_HTML.jpg
https://cdn.ncbi.nlm.nih.gov/pmc/blobs/555a/11993530/298eb03792e7/40643_2025_848_Fig5_HTML.jpg
https://cdn.ncbi.nlm.nih.gov/pmc/blobs/555a/11993530/6e70e6307ed1/40643_2025_848_Fig6_HTML.jpg
https://cdn.ncbi.nlm.nih.gov/pmc/blobs/555a/11993530/6932e0628982/40643_2025_848_Fig7_HTML.jpg
https://cdn.ncbi.nlm.nih.gov/pmc/blobs/555a/11993530/9396f9e411b2/40643_2025_848_Fig8_HTML.jpg
https://cdn.ncbi.nlm.nih.gov/pmc/blobs/555a/11993530/1f98fc5a32e0/40643_2025_848_Fig1_HTML.jpg
https://cdn.ncbi.nlm.nih.gov/pmc/blobs/555a/11993530/4e6b81b7391d/40643_2025_848_Fig2_HTML.jpg
https://cdn.ncbi.nlm.nih.gov/pmc/blobs/555a/11993530/e8989e5daa79/40643_2025_848_Fig3_HTML.jpg
https://cdn.ncbi.nlm.nih.gov/pmc/blobs/555a/11993530/d9ec0205da9b/40643_2025_848_Fig4_HTML.jpg
https://cdn.ncbi.nlm.nih.gov/pmc/blobs/555a/11993530/298eb03792e7/40643_2025_848_Fig5_HTML.jpg
https://cdn.ncbi.nlm.nih.gov/pmc/blobs/555a/11993530/6e70e6307ed1/40643_2025_848_Fig6_HTML.jpg
https://cdn.ncbi.nlm.nih.gov/pmc/blobs/555a/11993530/6932e0628982/40643_2025_848_Fig7_HTML.jpg
https://cdn.ncbi.nlm.nih.gov/pmc/blobs/555a/11993530/9396f9e411b2/40643_2025_848_Fig8_HTML.jpg

相似文献

1
Synthesis of novel MgO-ZnO nanocomposite using Pluchea indica leaf extract and study of their biological activities.利用印度艾纳香叶提取物合成新型MgO-ZnO纳米复合材料及其生物活性研究。
Bioresour Bioprocess. 2025 Apr 12;12(1):33. doi: 10.1186/s40643-025-00848-x.
2
In vitro antioxidant and antibacterial activities of biogenic synthesized zinc oxide nanoparticles using leaf extract of Mallotus philippinensis Mull. Arg.利用菲律宾野桐(Mallotus philippinensis Mull. Arg.)叶提取物生物合成氧化锌纳米颗粒的体外抗氧化和抗菌活性
Sci Rep. 2025 Feb 24;15(1):6541. doi: 10.1038/s41598-025-85264-z.
3
Antimicrobial activity and nanoremediation of heavy metals using biosynthesized CS/GO/ZnO nanocomposite by Bacillus subtilis ATCC 6633 alone or immobilized in a macroporous cryogel.利用枯草芽孢杆菌 ATCC 6633 单独或固定在大孔 cryogel 中合成的 CS/GO/ZnO 纳米复合材料的抗菌活性和重金属纳米修复作用。
Microb Cell Fact. 2024 Oct 15;23(1):278. doi: 10.1186/s12934-024-02535-6.
4
Green biosynthesis of bimetallic selenium-gold nanoparticles using leaves and their biological applications.利用树叶进行双金属硒-金纳米粒子的绿色生物合成及其生物学应用。
Front Bioeng Biotechnol. 2024 Jan 11;11:1294170. doi: 10.3389/fbioe.2023.1294170. eCollection 2023.
5
Pharmacological applications and plant stimulation under sea water stress of biosynthesis bimetallic ZnO/MgO NPs.海水胁迫下生物合成双金属ZnO/MgO纳米颗粒的药理应用及植物刺激作用
Sci Rep. 2025 Feb 12;15(1):5263. doi: 10.1038/s41598-025-87881-0.
6
Psidium guajav-mediated zinc oxide nanoparticles as a multifunctional, microbicidal, antioxidant and antiproliferative agent against destructive pathogens.番石榴介导的氧化锌纳米颗粒作为一种针对破坏性病原体的多功能、杀菌、抗氧化和抗增殖剂。
Bioprocess Biosyst Eng. 2024 Sep;47(9):1571-1584. doi: 10.1007/s00449-024-03052-x. Epub 2024 Jun 27.
7
Leaf Extract Mediated Synthesis of Zinc Oxide Nanoparticles: Assessment of Antimicrobial and Anticancer Activity.叶片提取物介导的氧化锌纳米粒子的合成:抗菌和抗癌活性评估。
Molecules. 2020 Oct 23;25(21):4896. doi: 10.3390/molecules25214896.
8
Green Biosynthesis of Bimetallic Copper Oxide-Selenium Nanoparticles Using Leaf Extract of : Antibacterial, Anti-Virulence Activities Against Multidrug-Resistant .利用[植物名称]叶提取物绿色生物合成双金属氧化铜-硒纳米颗粒:对多重耐药菌的抗菌及抗毒力活性
Int J Nanomedicine. 2025 Apr 14;20:4705-4727. doi: 10.2147/IJN.S497494. eCollection 2025.
9
Eco-friendly synthesis of ZnO nanoparticles fabricated using Fioria vitifolia L. and their biomedical potentials.利用费奥里叶(Fioria vitifolia L.)进行氧化锌纳米颗粒的环保合成及其生物医学潜力。
Microb Pathog. 2025 Feb;199:107139. doi: 10.1016/j.micpath.2024.107139. Epub 2024 Nov 22.
10
Green Synthesis and Characterization of ZnO Nanoparticles Using (L.) Aqueous Leaf Extract and Their Antioxidant, Antibacterial and Anti-inflammatory Activities.使用(L.)水提叶提取物合成氧化锌纳米颗粒及其表征、抗氧化、抗菌和抗炎活性
Antioxidants (Basel). 2022 Jul 26;11(8):1444. doi: 10.3390/antiox11081444.

引用本文的文献

1
Green biosynthesis of bimetallic silver titanium dioxide nanoparticles using Pluchea indica with their anticancer, antimicrobial, and antioxidant activities.使用印度阔苞菊绿色生物合成双金属银二氧化钛纳米颗粒及其抗癌、抗菌和抗氧化活性。
Sci Rep. 2025 Jul 23;15(1):26735. doi: 10.1038/s41598-025-10349-8.

本文引用的文献

1
Melittin alcalase-hydrolysate: a novel chemically characterized multifunctional bioagent; antibacterial, anti-biofilm and anticancer.蜂毒肽碱性蛋白酶水解产物:一种新型的经化学表征的多功能生物制剂;具有抗菌、抗生物膜和抗癌作用。
Front Microbiol. 2024 Jul 17;15:1419917. doi: 10.3389/fmicb.2024.1419917. eCollection 2024.
2
Biological Characteristics and Pathogenesis of Monkeypox Virus: An Overview.猴痘病毒的生物学特性与发病机制概述。
Adv Exp Med Biol. 2024;1451:91-109. doi: 10.1007/978-3-031-57165-7_6.
3
Bio-inspired silver selenide nano-chalcogens using aqueous extract of Melilotus officinalis with biological activities.
利用具有生物活性的草木犀水提取物制备的具有生物启发特性的硒化银纳米硫属化合物。
Bioresour Bioprocess. 2021 Jul 2;8(1):56. doi: 10.1186/s40643-021-00412-3.
4
Unveiling biological activities of biosynthesized starch/silver-selenium nanocomposite using Cladosporium cladosporioides CBS 174.62.揭示利用 Cladosporium cladosporioides CBS 174.62 生物合成的淀粉/银-硒纳米复合材料的生物活性。
BMC Microbiol. 2024 Mar 8;24(1):78. doi: 10.1186/s12866-024-03228-1.
5
Exploring the potential of a leaf extract: Phytochemical analysis, antioxidant activity, antibacterial properties, and green synthesis of ZnO nanoparticles for photocatalytic degradation of methylene blue.探索一种叶提取物的潜力:植物化学分析、抗氧化活性、抗菌性能以及用于光催化降解亚甲基蓝的氧化锌纳米颗粒的绿色合成。
Front Chem. 2024 Feb 21;12:1367552. doi: 10.3389/fchem.2024.1367552. eCollection 2024.
6
Biogenic zinc selenide nanoparticles fabricated using Rosmarinus officinalis leaf extract with potential biological activity.利用迷迭香叶提取物制备具有潜在生物活性的生物成因硒化锌纳米粒子。
BMC Complement Med Ther. 2024 Jan 4;24(1):20. doi: 10.1186/s12906-023-04329-6.
7
Biosynthesis of Leaf Extract-Mediated Bimetallic ZnO-CuO Nanoparticles: Antioxidant, Anticancer, and Molecular Docking Studies.叶提取物介导的双金属氧化锌-氧化铜纳米颗粒的生物合成:抗氧化、抗癌及分子对接研究
ACS Omega. 2023 Oct 24;8(44):41039-41053. doi: 10.1021/acsomega.3c01814. eCollection 2023 Nov 7.
8
Progressing nanotechnology to improve targeted cancer treatment: overcoming hurdles in its clinical implementation.推进纳米技术以改善癌症靶向治疗:克服其临床实施中的障碍。
Mol Cancer. 2023 Oct 9;22(1):169. doi: 10.1186/s12943-023-01865-0.
9
Watermelon Rind Mediated Biosynthesis of Bimetallic Selenium-Silver Nanoparticles: Characterization, Antimicrobial and Anticancer Activities.西瓜皮介导的双金属硒-银纳米粒子的生物合成:表征、抗菌和抗癌活性
Plants (Basel). 2023 Sep 17;12(18):3288. doi: 10.3390/plants12183288.
10
Exploring the Antibacterial Potential of Green-Synthesized MgO and ZnO Nanoparticles from Two Plant Root Extracts.探索两种植物根提取物绿色合成氧化镁和氧化锌纳米颗粒的抗菌潜力。
Nanomaterials (Basel). 2023 Aug 26;13(17):2425. doi: 10.3390/nano13172425.